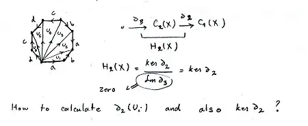
how to calculate that the second homology group for orientable surface of genus $g$ is $\mathbb{Z}$?
by calculating I mean that find $ker \partial_2$ in chain complex,for example for torus of two hole:

also I know that the first homology group is $\mathbb{Z}^{2g}$ but except torus with one hole I can't do its calculation.
I can think geometrically about that as I study Intuition of the meaning of homology groups but one time I want to see its calculation,also I have the same problem with non-orientable one.for $\mathbb{RP}^2$ and klein bottle I know the algebrical works,but more than it I couldn't go far.
any hint or references will be great,thanks a lot.