0

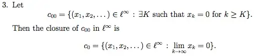
I have been learning the concept of closure in metric spaces and all has made sense so far. However, I have come across a particular example that is troubling me in terms of extracting the possible limit points. The example reads as

enter image description here

Thank you in advanced for you help.

2 Answers2

2

To show that the closure of $c_{00}$ is $c_0$ you need to do precisely what Daniel suggests.

a) $c_0$ is closed: Indeed let $(x^n) \subset c_0$ be a sequence (of sequences, each indexed in the following way: $(x_i^n)_{i=1}^{\infty}$) converging to some $x \in l^{\infty}$. We must show that in fact $x \in c_0$. So we must show that $\lim_{i \rightarrow \infty} x_i$ exists. To do this, define $c_n:= \lim_{i \rightarrow \infty} x_i^n$, and show that the sequence $(c_n)$ is Cauchy, using the convergence of $(x_n)$ in the supremum norm. This shows that $(c_n)$ has a limit, $c$. You should then be able to use a simple triangle inequality argument to show that in fact $\lim_{i \rightarrow \infty} x_i = c$.

b) Let $x \in c_{0}$. We must show we can find a sequence $(x^n)$ of $c_{00}$-elements converging in the supremum norm to $x$. You can use the sequence $x_i^n:= x_i$ for $i \leq n$ and $x_i^n:= 0$ for $i>n$.

Frank
  • 3,974
0

Consider a point in $c_0$ that is $x = (x_1, x_2, \dots )$ s.t. $x_n \rightarrow 0$. It is the limit of

$Y_1 = (x_1, 0, 0, \dots)$

$Y_2 = (x_1, x_2, 0, 0, \dots)$

$\dots$

Check : $Y_N \rightarrow x$ in $l^\infty$ norm.

So $c_0 \subset \overline{c_{00}}$ under $l^{\infty}$ norm.

Is one side of the proof.

For the other part consider an element $X = (x_1, x_2, \dots)$ in $\overline{c_{00}}$.

Now for given any $\epsilon > 0$ there exists a $X_\epsilon = (x_1^{\epsilon}, x_2^{\epsilon}, \dots )$ s.t. $$ \|X - X_\epsilon\|_\infty < \epsilon$$ because $X_\epsilon$ is in $c_{00}$, n > $n_\epsilon$ all the $x_n^\epsilon = 0$, which amounts to saying :

for all $n > n_\epsilon$ we have $$|x_n| < \epsilon$$

We can choose smaller $\epsilon$ and a larger $n_\epsilon$ in the same fashion every time. Thus seeing that indeed the $x_n \rightarrow 0$.

Closedness of $c_0$ becomes unnecessary in this case. You have $\overline{c_{00}} \subset c_0$ here thus combining both the parts.

$$c_0 = \overline{c_{00}}$$ in $l^\infty$.

DiffeoR
  • 834
  • 4
  • 10