I'm reading through the Sobolev Spaces section in Evans's Partial Differential Equations book, and I was stuck on a theorem characterizing the $H^{-1}$ norm. On page 299 Theorem 1 (in the second edition), he proves that for $f \in H^{-1}(U)$, $$\begin{multline}\|f\|_{H^{-1}(U)} = \inf \Big\{ \left( \int_U \sum_{i=0}^n |f^i|^2 dx \right): \langle f, v \rangle = \int_U f^0 v + \sum_{i=1}^n f^i v_{x_i} dx,\\ \;f^0,\ldots,f^n \in L^2(U), \; \forall v \in H^1(U)\Big\}. \end{multline}$$
Here $\langle \cdot, \cdot \rangle$ denotes the dual pairing of $H^{-1}$ and $H_0^1$.
To show this, he first states that given $f \in H^{-1}(U)$, we can apply to the Riesz Representation Theorem to get an element $u \in H_0^1$ such that $(u,v)_{H_0^1} = \langle f,v \rangle \; \forall v \in H_0^1$, where $(u,v)_{H_0^1} = \int Du \cdot Dv + uv dx$ is an inner product on $H_0^1$. Then we can define $f^0=u$ and $f^i = u_{x_i}$ for each $i$.
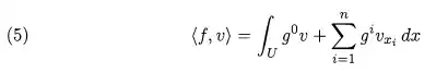
Now, if $\langle f, v \rangle = \int_U g^0 v + \sum_{i=1}^n g^i v_{x_i} dx$, for $g^0,\ldots,g^n \in L^2(U)$, then by choosing $v=u$, we can see that $$\int_U |Du|^2 +|u|^2 dx \leq \int_U \sum_{i=0}^n |g^i|^2 dx.$$
How does he get this inequality?
When you let $v=u$, you get $$\int_U |Du|^2 +|u|^2 dx = \int_U g^0 u + \sum_{i=1}^n g^i u_{x_i} dx$$ and I don't see how you can get the $\{u,u_{x_i}\}$ terms to disappear on the right side.

