what i know :
if i want to find $Nth$ term of a fibonacci series like :
1 1 2 3 5 8 13 21 .......
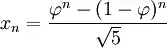
then to find $6th$ term we use golden ratio like:

so it becomes like :
well and good.now
what i want to know :
what changes should i make in golden ratio or while applying it for different fibonacci series . For example :
1 6 7 13 20 33 .......
now if i want to find the 10th no. of above series then what changes should i do in golden ratio... now what is the value of X10's R.H.S(right hand side)
X10 = ? (for this fibonacci series)