2

If

$$f=f(g(x),h(x))$$

Then I can easily demonstrate the chain rule:

$$\frac{df}{dx}=\frac{\partial{f}}{\partial{g}}\cdot\frac{\partial{g}}{\partial{x}}+\frac{\partial{f}}{\partial{h}}\cdot\frac{\partial{h}}{\partial{x}}$$

But what if

$$f=f(x,g(x,t))$$

Then it'll be wrong if I write the chain rule this way:

$$\frac{\partial{f}}{\partial{x}}=\frac{\partial{f}}{\partial{x}}+\frac{\partial{f}}{\partial{g}}\cdot\frac{\partial{g}}{\partial{x}}$$

because the $\frac{\partial{f}}{\partial{x}}$ in the left has a different meaning from the one in the right.

Then how do I express this equation?

xzhu
  • 4,303
  • 1
    Do you understand the answers to your previous question? – Pierre-Yves Gaillard Aug 20 '11 at 05:49
  • If you have to (sometimes context is enough to effectively communicate the intended meaning despite literal ambiguity), just use more letters. Say $a(x)=x$ and $$\frac{\partial}{\partial x} [f(a,g)]=\frac{\partial f}{\partial a}+\frac{\partial f}{\partial g}\frac{\partial g}{\partial x}.$$ – anon Aug 20 '11 at 05:55
  • @Pierre: Yes I think I do ... at least the chain rule part. I'm still working on the details such as the evaluation of $\frac{\partial{f}}{\partial{b}}$. – xzhu Aug 20 '11 at 05:55
  • Another option is $\partial_x f = \partial_1 f + \partial_2 f\cdot \partial_x g$. – anon Aug 20 '11 at 05:58
  • 1
    Dear Voldemort: Thanks for your answer. I feel you're asking for the second time a question that had already been asked before. (So there now three virtually identical questions.) (See this, and this.) (Suggestion: try to understand this once and for all.) Thank you in advance! – Pierre-Yves Gaillard Aug 20 '11 at 05:59
  • 3
    Voldemort: Briefly put, the answer is that writing f=f(x,g(x,t)) is causing some confusion because (1) although every function needs an argument, there is none on the LHS, and (2) the functions f on the LHS and on the RHS are not the same. (Yes, such an abuse of notation is often made but, during the learning phase when one tries to understand these things, IMHO it should be avoided.) Writing (correctly) h(x,t)=f(x,g(x,t)) would be a huge step towards the solution. // And you should definitely pay attention to @Pierre-Yves' remarks above. – Did Aug 20 '11 at 07:27
  • 2
    Dear Voldemort: All these exercises are mechanical of the Chain Rule. You should learn it. You should also (I think) be more careful with notation. For example, instead of $$f=f(g(x),h(x)),\quad\frac{df}{dx}=\frac{\partial{f}}{\partial g}\cdot\frac{\partial g}{\partial x}+\frac{\partial f}{\partial h}\cdot\frac{\partial h}{\partial x}$$ it's better to write: Given $f(u,v)$, we have $$\frac{d}{dx}f(g(x),h(x))=\frac{\partial f}{\partial u}(g(x),h(x))\ g'(x)+\frac{\partial f}{\partial v}(g(x),h(x))\ h'(x).$$ [Hi @Didier! Thanks for your support! I really appreciate!] – Pierre-Yves Gaillard Aug 20 '11 at 07:28
  • My previous comment is a clone of @Didier’s, but I’ll still leave for the moment, for emphasis. – Pierre-Yves Gaillard Aug 20 '11 at 07:34
  • 1
    Voldemort: You see? In P.-Y.'s last formula, there is no ambiguity about what function is used where... For example the LHS of this relation is the derivative of the one-variable function F defined by F(x)=f(g(x),h(x)). @Pierre-Yves: You are welcome. – Did Aug 20 '11 at 07:39
  • @Pierre-Yves: Please leave everything as it is! :-) – Did Aug 20 '11 at 07:40
  • Dear Voldemort: May I suggest an exercise? Given a function $f(x,y)$, do we have $$\frac{\partial}{\partial x}\Big(f(y,x)\Big)=\frac{\partial f}{\partial x}(y,x)\quad?$$ Hint: try $f(x,y)=x$. – Pierre-Yves Gaillard Aug 20 '11 at 08:07

1 Answers1

1

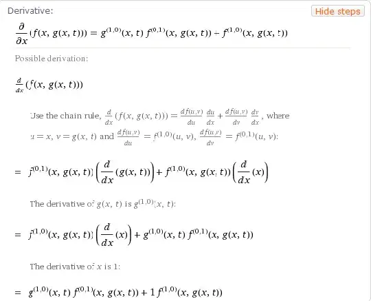
From Wolfram Alpha

Fred
  • 131