No convex solution
With intuition
If both areas are to be convex, then the curve dividing them must be a straight line. A straight line cutting into the octagon parallel to one of its edges is bad, since it results in one very narrow plot for small $p$. So intuition tells me that a line whose direction is exactly between two adjacent edges should be best, in terms of area of a square versus whole area of the plot. The situation for small $p$ then looks as follows:

In this case, the area of the square, in relation to the whole yellow area, is
$$\frac{4 \, \sqrt{\sqrt{2} + 2} {\left(\sqrt{2} - 2\right)}}{4 \,
\sqrt{\sqrt{2} + 2} {\left(\sqrt{2} - 2\right)} - {\left(3 \, \sqrt{2} +
10\right)} \sqrt{-\sqrt{2} + 2}}
\approx 0.28427
< \frac12$$
So no, there is no convex solution.
Bounds without intuition
You might not trust my intuition. You might also be worried about how to orient the square. But perhaps the following plot can convince you:

The horizontal axis of that plot shows the angle under which your line intersects the octagon, measured in degrees. In the center there is the middle solution depicted above, while those position where the function value is zero correspond to a line parallel to one of the edges.
What the vertical axis plots is the area of a square, divided by the area of the whole plot. That square is not neccessarily contained in the plot; instead it is the square circumscribed around the incircle of the triangular plot. Every square has an incircle, and the larger the incircle, the larger the square. So the largest square which fits into the plot has to have an incircle no larger than that of the plot itself. Therefore the value plotted is an upper bound for the value of the ratio you would obtain for the largest fitting square. You will see that it still falls well short of $\frac12$. In fact, its optimal value is for the situation discussed above, and in that case the bound estimated by this incircle argument is still only
$$44 \, \sqrt{2} - 8 \, \sqrt{82 \, \sqrt{2} + 116} + 60\approx0.382\lt0.5$$
Non-convex solution
does it become possible if we allow the land-plots to be non-convex?
Yes it does. You can sweep through the octagon the way you describe it, but have a square of area $\frac p2$ protrude into the other area. The sweeping line would then be chosen such that it covers $\frac p2$ of the area of the octagon minus the square. Here is an illustration of typical situations which could occur during such a sweep. The squares are always as large as the associated non-square regions of the similar color, so they are half as large as the whole plot obtained in this fashion.

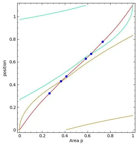
Now you can look at the positions of the contained squares, depending on the parameter $p$:

The red line is the position of the divider line. The orange and green line pairs denote the positions of the squares. As you can see, these never overlap, so there is never a problem of the squares intersecting. And the red divider line only divides the remainder after the squares were already taken away, so it won't conflict with anything either.
Events where things change
The blue dots denote special situations, from left to right:
- The red line touches the left pair of corners of the octagon
- The yellow area fully encloses the orange square
- The orange square no longer touches the left edge
- The green square begins to touch the right edge
- The green square protrudes beyond the cyan area
- The green red line touches the right pair of corners of the octagon
The situations depicted above illustrate arrangements between these special situations, but only for the first half of the spectrum.
The relevant $p$ values where these events occur are
\begin{align*}
p_1&= -\frac{1}{8} \, \sqrt{2} {\left(\sqrt{2} \sqrt{2 \, \sqrt{2} -
1} - \sqrt{2} - 2\right)}
\approx 0.2655
\\
p_2&= \frac{1}{16} \, \sqrt{2} {\left(\sqrt{2} \sqrt{2 \, \sqrt{2} -
1} + 3 \, \sqrt{2} - 2\right)}
\approx 0.3672
\\
p_3&= \frac{1}{\sqrt{2} + 1}
\approx 0.4142
\\
p_4&= \frac{\sqrt{2}}{\sqrt{2} + 1}
\approx 0.5858
\\
p_5&= -\frac{1}{16} \, \sqrt{2} {\left(\sqrt{2} \sqrt{2 \, \sqrt{2}
- 1} - 5 \, \sqrt{2} - 2\right)}
\approx 0.6328
\\
p_6&= \frac{1}{8} \, \sqrt{2} {\left(\sqrt{2} \sqrt{2 \, \sqrt{2} -
1} + 3 \, \sqrt{2} - 2\right)}
\approx 0.7345
\end{align*}
I have symbolic formulas which compute the sweep line position and so on, one formula for each piece delimited by such events. But some formulas are pretty big, so I won't paste them here.