34

Let $\mathcal{A}$ be an abelian category.

We say that $\mathcal{A}$ satisfies (AB5) if $\mathcal{A}$ is cocomplete and filtered colimits are exact.

In Weibel's Introduction to homological algebra, he states (without proof) that $\mathcal{A}$ satisfies axiom (AB5) iff $\mathcal{A}$ is cocomplete and for all lattices $\{ A_i \}$ of subobjects of $A \in \mathcal{A}$ and all subobjects $B$ of $A$, we have $$ \sum (A_i \cap B) = B \cap \sum A_i.$$

I have been thinking about this for a few days but have been unable to come up with a proof. In the forward direction I can't seem to relate the sum of subobjects and filtered colimits. I have no idea about the backward direction. Could anyone give me a hint?

Note: This is not actually an exercise in Weibel's book, he states it in the appendix on category theory when he is defining axiom (AB5). It is stated without proof in Grothendieck's Tōhoku paper. Also, It is an exercise in Freyd's abelian categories.

DBr
  • 5,010
  • 3
    ‘Filtered colimits are exact’ means that they commute with finite limits. An intersection is a finite limit (it is a pullback), and a sum over a lattice is a filtered colimit. Does that help? – Zhen Lin Aug 09 '11 at 07:16
  • 1
    @Zhen: My issue is that I can't see how a sum of sub-objects is a colimit. The only way I know of showing that sums exist in a cocomplete abelian category is to show that the quotient objects have infimums and then take kernel. – DBr Aug 09 '11 at 09:07
  • A sum is a pushout (and a direct sum is a coproduct). – Zhen Lin Aug 09 '11 at 09:25
  • The only way I can think of realising a sum in terms of pushouts is to take cokernels, then pushout, then take the kernel. Is there an easier way? – DBr Aug 09 '11 at 09:50
  • 4
    That seems like overkill. $A + B$ is the pushout of $A \leftarrow A \cap B \rightarrow B$. – Zhen Lin Aug 09 '11 at 10:00
  • Thanks for that! you helped me figure out the forward direction. – DBr Aug 10 '11 at 03:07
  • Did you check in chapter 3 of Mitchell's "Theory of Categories"? If I remember correctly, Mitchell uses the terminology $C_3$ instead of $AB_5$. – Bruno Stonek Aug 10 '11 at 03:51
  • It is not entirely clear to me whether it is clear to you that the equality displayed is to be understood as equality of subobjects of $A$ (this is left more than unclear in Weibel and somewhat unclear in Tōhoku). – t.b. Aug 10 '11 at 10:08
  • @Theo: I'd love to see an example where one has equality of objects and not of subobjects :) – Mariano Suárez-Álvarez Aug 10 '11 at 14:43
  • @Mariano: Oy. What in the world have I produced here? :) I'd love to say "I don't know what on earth I was thinking" but I can't, because I obviously wasn't... – t.b. Aug 10 '11 at 15:06
  • @Theo Buehler: I don't know whether you can read German, but a detailed treatment of your question can be found in Bodo Pareigis' "Kategorien und Funktoren" chapter.section 4.7 "Grothendieck-Kategorien", where (AB5) is invoked only for totally ordered families of subobjects, then shown to hold for all filtered families (using a typical set-/order-theoretical argument), and then the equivalence with the exactness of the direct limit functor shown (assuming your other blanket hypotheses). Kind regards - Stephan F. Kroneck. – bonnbaki Sep 08 '11 at 13:58
  • @bonnbaki: Thanks a lot for this reference; German is fine. That might be what I had in mind. I read this in Schubert's Kategorien and got myself confused, but the confusion's gone. – t.b. Sep 08 '11 at 14:01
  • @Theo: the equalities are equalities of subobjects. Is it not standard use the symbol "=" to mean equality of subobjects? – DBr Sep 09 '11 at 22:25
  • DBr: no that's fine. I've got myself confused over a different issue and I left my comments here simply for the sake of honesty. Don't worry about it. The mistake is mine. – t.b. Sep 10 '11 at 00:06
  • To give a reference, this is Theorem 8.6 in N. Popescu, Abelian categories with application to rings and modules. – Elías Guisado Villalgordo Jun 03 '24 at 12:47

1 Answers1

63

I borrowed the ideas from the following books.

Abelian categories with application to rings and modules by Popescu, 1973.

Theory of categories by Mitchell, 1964.

Notations and Conventions We fix a Grothendieck universe $\mathcal{U}$. We consider only categories which belong to $\mathcal{U}$. Let $\mathcal{C}$ be a category. We denote by Ob($\mathcal{C}$) the set of objects of $\mathcal{C}$. Often, by abuse of notation, we use $\mathcal{C}$ instead of Ob($\mathcal{C}$). We denote by Mor($\mathcal{C}$) the set of morphisms of $\mathcal{C}$.

Let $f:X \rightarrow Y$ be a morphism of $\mathcal{C}$. We denote by dom($f$) the domain of $f$, i.e. $X$ = dom($f$). We denote by codom($f$) the codomain of $f$, i.e. $Y$ = codom($f$).

Definition Let $\mathcal{C}$ be a category. Let $X$ be an object of $\mathcal{C}$. Let $I$ be a small set. Let $(X_i)_I$ be a family of subobjects of $X$. If $(X_i)_I$ satisfies the following condition, $(X_i)_I$ is called a directed family of subobjects of $X$.

For any $i, j \in I$, there exists $k \in I$ such that $X_i \subset X_k$ and $X_j \subset X_k$.

Lemma 1 Let $\mathcal{A}$ be a cocomplete abelian category. Let $I$ be a small category. Let $F: I \rightarrow \mathcal{A}$ be a functor. Let $A$ = colim $F$. For each $i \in I$, let $f_i:F(i) \rightarrow A$ be the canonical morphism. For each $i \in I$, let $A_i$ = Im($f_i$). Since $\mathcal{A}$ is cocomplete, $\sum A_i$ exists. Then $A = \sum A_i$.

Proof: Let $B = \sum A_i$. Let $m:B \rightarrow A$ be the canonical monomorphism. Since $A_i$ = Im($f_i$) for each $i \in I$, there exists $g_i:F(i) \rightarrow B$ such that $f_i = mg_i$. Let $u: i \rightarrow j$ be a morphism of I. Since $f_i = f_jF(u)$, $mg_i = mg_jF(u)$. Since $m$ is a monomorphism, $g_i = g_jF(u)$. Hence there exists $g:A \rightarrow B$ such that $g_i = gf_i$ for each $i$. Hence $mgf_i = mg_i = f_i$ for each $i$. Hence $mg = 1_A$. Hence $A \subset B$. Hence $A = B$. QED

Lemma 2 Let $\mathcal{C}$ be a cocomplete category. Let I be a small category. Let $\mathcal{C}^I$ be the category of functors: $I \rightarrow \mathcal{C}$. Then colim$: \mathcal{C}^I \rightarrow \mathcal{C}$ preserves colimits.

Proof: Let $\Delta: \mathcal{C} → \mathcal{C}^I$ be the diagonal functor, i.e. for each $X \in \mathcal{C}$ and for each $i \in I$, $\Delta(X)(i) = X$. Since colim is a left adjoint functor of $\Delta$, it preserves colimits(MacLane: Categories for the working mathematician, Chapter V, Section 5, Theorem 1, p.114). QED

Lemma 3 Let $\mathcal{A}$ be a cocomplete abelian category which satisfies (AB5). Let $X$ be an object of $\mathcal{A}$. Let I be a small filtered category. Let Sub($X$) be the category of subobjects of $X$. Let $F: I \rightarrow$ Sub($X$) be a functor.

Then $\sum F(i)$ = colim $F$.

Proof: For each $i \in I$, Let $u_i:F(i) \rightarrow$ colim $F$ be the canonical morphism. For each $i \in I$, Let $m_i:F(i) \rightarrow X$ be the canonical monomorphism. Since $(m_i)_I$ is a cocone, it induces a morphism $f$: colim $F \rightarrow X$. By (AB5), $f$ is mono. Hence we can regard colim $F$ as a subobject of $X$. Since $fu_i = m_i$ for each $i$, $F(i) \subset$ colim $F$.

Let $Z$ be a subobject of $X$. Let $r: Z \rightarrow X$ be the canonical monomorphism. Suppose $F(i) \subset Z$ for each $i$. Let $k_i: F(i) \rightarrow Z$ be the canonical monomorphism. Since $(k_i)_I$ is a cocone, it induces a morphism $g$: colim $F \rightarrow Z$. For each $i \in I$, $rgu_i = rk_i = m_i$. Hence $f = rg$. Hence colim $F \subset Z$. QED

Lemma 4 Let $\mathcal{A}$ be a cocomplete abelian category. Let $f:X \rightarrow Y$ be a morphism of $\mathcal{A}$. Let $I$ be a small set. Let $(X_i)_I$ be a family of subobjects of $X$. Then $\sum f(X_i) = f(\sum X_i)$.

Proof: For each $i \in I$, $X_i \subset \sum X_i$. Hence $f(X_i) \subset f(\sum X_i)$.

Let $Z$ be a subobject of $X$. Suppose $f(X_i) \subset Z$ for each $i$. Then $f^{-1}(f(X_i)) \subset f^{-1}(Z)$. Since $X_i \subset f^{-1}(f(X_i))$, $X_i \subset f^{-1}(Z)$. Hence $\sum X_i \subset f^{-1}(Z)$. Hence $f(\sum X_i) \subset f(f^{-1}(Z)) \subset Z$. QED

Lemma 4.5 Let $\mathcal{A}$ be a cocomplete abelian category. Let $I$ be a small category. Let $F: I \rightarrow \mathcal{A}$ be a functor. Let $X$ = colim $F$. Let $(s_i: F(i) \rightarrow Y)_I$ be a cocone. Let $f:X \rightarrow Y$ be the morphism induced by the cocone. Then $f(X) = \sum s_i(F(i))$.

Proof: For each $i$, let $u_i: F(i) \rightarrow X$ be the canonical morphism. For each $i$, $fu_i = s_i$. Hence $f(u_i(F(i)) = s_i(F(i)) \subset f(X)$.

Let $Z$ be a subobject of $Y$. Suppose $s_i(F(i)) \subset Z$ for each $i$. For each $i$, $s_i$ induces $t_i: F(i) \rightarrow Z$. Since $(t_i: F(i) \rightarrow Z)_I$ is a cocone, it induces $g:X \rightarrow Z$. Let $m: Z \rightarrow Y$ be the canonical monomorphism. $mgu_i = mt_i = s_i$ for each i. Hence $f = mg$. Hence $f(X) \subset Z$. QED

Lemma 5 Let $\mathcal{A}$ be a cocomplete abelian category. Let $X$ be an object of $\mathcal{A}$. Let $I$ be a small set. Let $(X_i)_I$ be a family of subobjects of $X$. Then $\bigoplus X/X_i$ = $X/(\sum X_i)$.

Proof: For each $i \in I$, the following sequence is exact. $0 \rightarrow X_i \rightarrow X \rightarrow X/X_i \rightarrow 0$. By Lemma 2, colim preserves cokernels. Hence, colim $X_i \rightarrow X \rightarrow$ colim $X/X_i \rightarrow 0$ is exact. By Lemma 4.5, Im(colim $X_i \rightarrow X$) = $\sum X_i$. Hence colim $X/X_i$ = $X/(\sum X_i)$. QED

Lemma 5.4 Suppose the following is a pullback diagaram in an abelian category. $$\begin{matrix} A&\stackrel{f}{\rightarrow}&B\\ \downarrow&&\downarrow\\ C&\stackrel{h}{\rightarrow}&D \end{matrix} $$

Suppose the following sequence is exact. $0 \rightarrow C \stackrel{h}{\rightarrow}D \rightarrow E$

Then $0 \rightarrow A \stackrel{f}{\rightarrow}B \rightarrow E$ is exact.

Proof: Left to the readers.

Lemma 5.5 Consider the following commutative diagram with two horizontal exact sequences in an abelian category.

$X \rightarrow Y \rightarrow Z \rightarrow 0$

$0 \rightarrow X' \rightarrow Y' \rightarrow Z' \rightarrow 0$

Suppose the left square is a pullback. Then $Z \rightarrow Z'$ is mono.

Proof: We call s the above morphism $Z \rightarrow Z'$.

Let $r:T \rightarrow Z$ be a morphism such that sr = 0.

There exists the following pullback diagaram. $$\begin{matrix} P&\stackrel{u}{\rightarrow}&T\\ \downarrow&&\downarrow{r}\\ Y&\stackrel{}{\rightarrow}&Z \end{matrix} $$

By Lemma 5.4, $0 \rightarrow X \rightarrow Y \rightarrow Z’$ is exact.

Hence there exists $P \rightarrow X$ such that $P \rightarrow Y = P \rightarrow X \rightarrow Y$.

Hence $ru$ = 0. On the other hand, since a pullback of an epimorphism in an abelian category is epi(MacLane Proposition 2, p.199), $u$ is epi. Hence $r$ = 0. QED

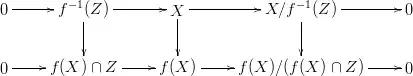
Lemma 6 Let $\mathcal{A}$ be an abelian category. Let $f:X \rightarrow Y$ be a morphism of $\mathcal{A}$. Let $Z \subset Y$. Then $X/f^{-1}(Z)$ is canonically isomorphic to $f(X)/(f(X) \cap Z)$.

Proof:

Consider the following commutative diagram with two horizontal exact sequences.

Diagram

By Lemma 5.5, $X/f^{-1}(Z) \rightarrow f(X)/(f(X) \cap Z)$ is mono. Since $X \rightarrow f(X)$ is epi, $X \rightarrow X/f^{-1}(Z) \rightarrow f(X)/(f(X) ∩ Z)$ is epi. Hence $X/f^{-1}(Z) \rightarrow f(X)/(f(X) \cap Z)$ is epi. Hence $X/f^{-1}(Z) \rightarrow f(X)/(f(X) \cap Z)$ is an isomorphism. QED

Note If you are willing to accept Mitchell's embedding theorem, Lemma 6 will be trivial.

Lemma 7 Let $\mathcal{A}$ be a cocomplete abelian category. Suppose $\mathcal{A}$ has the following property.

Let $A$ be an object of $\mathcal{A}$. Let $(A_i)_I$ be a directed family of subobjects of $A$. Then, for every subobject $B$ of $A$, $(\sum A_i) \cap B = \sum (A_i \cap B)$.

Let $f:Y \rightarrow X$ be a morphism of $\mathcal{A}$. Let $(X_i)_I$ be a directed family of subobjects of $X$. Then, $f^{-1}(\sum X_i) = \sum f^{-1}(X_i)$.

Proof: By Lemma 6, for each $i$, $Y/f^{-1}(X_i)$ is canonically isomorphic to $f(Y)/(f(Y) \cap X_i)$.

Hence $\bigoplus Y/f^{-1}(X_i)$ is canonically isomorphic to $\bigoplus f(Y)/(f(Y) \cap X_i)$.

By Lemma 5, $Y/\sum f^{-1}(X_i)$ = $\bigoplus Y/f^{-1}(X_i)$.

Hence $Y/\sum f^{-1}(X_i)$ = $\bigoplus f(Y)/(f(Y) \cap X_i)$.

By Lemma 5, $\bigoplus f(Y)/(f(Y) \cap X_i)$ = $f(Y)/\sum (f(Y) \cap X_i)$.

By the assumption, $f(Y)/\sum (f(Y) \cap X_i)$ = $f(Y)/((\sum X_i) \cap f(Y))$.

By Lemma 6, $Y/f^{-1}(\sum X_i)$ is canonically isomorphic to $f(Y)/((\sum X_i) \cap f(Y))$.

Hence $Y/\sum f^{-1}(X_i)$ is canonically isomorphic to $Y/f^{-1}(\sum X_i)$.

Hence $f^{-1}(\sum X_i)$ = $\sum f^{-1}(X_i)$. QED

Lemma 7.3 Let $\mathcal{C}$ be a category. Let $X$ be an object of $\mathcal{C}$. Let Sub($X$) be the category of subobjects of $X$. Let $I$ be a small set. Let $(X_i)_I$ be a directed family of subobjects of $X$. Then there exists a preorder on $I$ making $I$ a filtered category and a functor $F: I \rightarrow$ Sub($X$) such that $F(i) = X_i$ for each $i \in I$.

Proof: Define $i \leq j$ if and only if $X_i \subset X_j$. QED

Lemma 7.5 Let $\mathcal{A}$ be an abelian category. Let $I$ be a small category. Let $F: I \rightarrow \mathcal{A}$ be a functor. Let $i \in I$. Let $(i\downarrow I)$ be the coslice category under i. Let Sub($F(i)$) be the category of subobjects of $F(i)$. Then there exists a functor $G$: $(i\downarrow I) \rightarrow$ Sub($F(i)$) such that $G(u)$ = Ker($F(u)$) for each $u \in (i\downarrow I)$.

Proof:Clear.

Lemma 8 Let $\mathcal{A}$ be an abelian category. Let $I$ be a small filtered category. Let $F: I \rightarrow \mathcal{A}$ be a functor. Let $i \in I$. Let $J$ = {$u \in$ Mor($I$); $i$ = dom($u$)}. Then (Ker($F(u))$)$_J$ is a directed family of subobjects of $F(i)$.

Proof: Let $(i\downarrow I)$ be the coslice category under i. $(i\downarrow I)$ is clearly a filtered category. Since $J$ = Ob($(i\downarrow I)$), the assertion follows immediately from Lemma 7.5. QED

Lemma 8.5 Let $\mathcal{A}$ be a cocomplete abelian category. Let $I$ be a small category. Let $F: I \rightarrow \mathcal{A}$ be a functor. Let $S = \bigoplus_i F(i)$, where $i$ runs over every object of $I$. Let $m_i: F(i) \rightarrow S$ be the canonical monomorphism for each $i \in I$. Let $M$ = $\sum_u$ Im($m_i - m_jF(u)$), where $u$ runs over every morphism of $I$ and $i$ = dom($u$), $j$ = codom($u$). Let $\pi:S \rightarrow S/M$ be the canonical epimorphism. Let $f_i = \pi m_i$ for each $i \in I$. Then $S/M$ = colim $F$ with canonical morphisms $f_i: F(i) \rightarrow S/M$ for each $i \in I$.

Proof:Left to the readers.

Lemma 8.6 Let $I$ be a filtered category. Let $V$ be a non-empty finite subset of Ob($I$). Let $T$ be a finite subset of Mor($I$) such that dom($u$) $\in V$ and codom($u$) $\in V$ whenever $u \in T$. Then there exists $p \in$ Ob($I$) and a morphism $f_i: i \rightarrow p$ for each $i \in V$ with the following property.

For each $u:i \rightarrow j$ in $T$, $f_i = f_ju$.

Proof: There exists $q \in I$ such that there exists a morphism $g_i:i \rightarrow q$ for each $i \in V$. Let $u:i \rightarrow j$ in $T$. There exists $r_u \in I$ and a morphism $h_u:q \rightarrow r_u$ such that $h_ug_i = h_ug_ju$. There exists $r \in I$ such that there exists a morphism $r_u \rightarrow r$ for each $u \in T$.
Hence, for each $u:i \rightarrow j$ in $T$ there exist a morphism $g_{u, i}: i \rightarrow r$ and a morphism $h_{u, j}: j \rightarrow r$ such that $g_{u, i} = h_{u, j}u$.

For each $i \in V$, let $G_i$ be the set {$g_{u, i}: i$ = dom($u$), $u \in T$}, and let $H_i$ be the set {$h_{u, i}: i$ = codom($u$), $u \in T$}. Let $S_i = G_i \cup H_i$ for each $i \in V$. By the properties of a filtered category, we can assume that $S_i$ consists of one morphism $f_i$ with a common codomain $p$ for each $i \in V$. If $S_i$ is empty, we can assume that there exists a morphism $f_i:i \rightarrow p$ which has no condition.
QED

Lemma 9 Let $\mathcal{A}$ be a cocomplete abelian category. Suppose $\mathcal{A}$ has the following property.

Let $A$ be an object of $\mathcal{A}$. Let $(A_i)_I$ be a directed family of subobjects of $A$. Then, for every subobject $B$ of $A$, $(\sum A_i) \cap B = \sum (A_i \cap B)$.

Let I be a small filtered category. Let $F: I \rightarrow \mathcal{A}$ be a functor. For each $i$, let $f_i: F(i) \rightarrow$ colim($F$) be the canonical morphism. Then, for each $i$, Ker($f_i$) = $\sum$ Ker($F(u)$), where $u$ runs over every morphism such that $i$ = dom($u$).

Proof: We use the notations of Lemma 8.5. Let $T$ be a subset of Mor($I$). Let $M_T$ = $\sum_{u \in T}$ Im($m_i - m_jF(u)$), where $i$ = dom($u$), $j$ = codom($u$). Then $M = \sum_T M_T$, where T runs through all finite subsets of Mor($I$). Hence, by Lemma 8.5 and Lemma 7, Ker($f_i$) = $m_i^{-1}(M)$ = $\sum_T m_i^{-1}(M_T)$, where T runs through all finite subsets of Mor($I$). It suffices to prove: For each finite subset $T$ of Mor($I$), $m_i^{-1}(M_T) \subset$ Ker($F(u)$) for some $u \in$ Mor($I$) such that $i$ = dom($u$).

Let $V$ be the set of $k \in I$ such that $k$ = $i$ or $k$ = dom($u$) or $k$ = codom($u$) for some $u \in T$.

Since $I$ is filtered, by Lemma 8.6, there exists $p \in$ Ob($I$) and a morphism $v_k: k \rightarrow p$ for each $k \in V$ with the following property.

For each $u \in$ Mor($I$) such that k = dom($u$) $\in V$ and $j$ = codom($u$) $\in V$, $v_k = v_ju$.

We define $f:S \rightarrow F(p)$ as follows. Let $k$ be any object of $I$. If $k \in V$, $fm_k = F(v_k)$, otherwise $fm_k = 0$.

For each $u \in T$, let $k$ = dom($u$), $j$ = codom($u$). Then $f(m_k - m_jF(u))$ = $F(v_k) - F(v_j)F(u)$ = $0$. Hence, by Lemma 4, $f(M_T)$ = $0$. Since $m_i(m_i^{-1}(M_T)) \subset M_T$, $0$ = $f(m_i(m_i^{-1}(M_T)))$ = $F(v_i)(m_i^{-1}(M_T))$. Hence $m_i^{-1}(M_T) \subset$ Ker($F(v_i)$) as required. QED

Proposition 1 Let $\mathcal{A}$ be a cocomplete abelian category. Suppose $\mathcal{A}$ has the following property.

Let $A$ be an object of $\mathcal{A}$. Let $(A_i)_I$ be a directed family of subobjects of $A$. Then, for every subobject $B$ of $A$, $(\sum A_i) \cap B = \sum (A_i \cap B)$.

Then $\mathcal{A}$ satisfies (AB5).

Proof: Let $I$ be a small filtered category. By Lemma 2, colim$: \mathcal{A}^I \rightarrow \mathcal{A}$ preserves colimits. In particular, it preserves cokernels. Hence it is right exact. It suffices to prove that it preserves monomorphisms.

Let $f: F \rightarrow G$ be a monomorphism of $\mathcal{A}^I$. Let $K$ = Ker(colim($f$)). For each i, let $u_i: F(i) \rightarrow$ colim $F$ be the canonical morphism. Let $A_i$ = $u_i(F(i))$ for each i. Since $I$ is a filtered category, $(A_i)_I$ is a directed family of subobjects of colim $F$. By Lemma 1, colim $F$ = $\sum A_i$. By the assumption, $K$ = $(\sum A_i) \cap K = \sum (A_i \cap K)$. Suppose $K \neq 0$. There exists $k \in I$ such that $A_k \cap K \neq 0$. Since $A_k$ = Im($u_k$), $u_k^{-1}(A_k \cap K) \neq 0$. Let $M = u_k^{-1}(A_k \cap K)$. Then $u_k(M) \neq 0$. For each i, let $v_i: G(i) \rightarrow$ colim $G$ be the canonical morphism. $v_k(f_k(M))$ = (colim $f$)($u_k(M)$) = (colim $f$)($A_k \cap K$) $\subset$ (colim f)($K$) = $0$. Hence $f_k(M) \subset$ Ker($v_k$). By Lemma 9, $f_k(M) \subset \sum$ Ker($G(t)$), where $t$ runs over every morphism such that $k$ = dom($t$).

By Lemma 8 and the assumption, $f_k(M)$ = $\sum$ (Ker($G(t)$) $\cap f_k(M)$). Since $f_k$ is mono, $M$ = $f_k^{-1}(f_k(M))$. By Lemma 7, $M$ = $f_k^{-1}(f_k(M))$ = $f_k^{-1}(\sum$ (Ker($G(t)$) $\cap f_k(M)))$ = $\sum f_k^{-1}$(Ker($G(t)$ $\cap f_k(M))$. For each morphism $t: k \rightarrow j$, Let $N_t = f_k^{-1}$(Ker($G(t)$) $\cap f_k(M))$. Then $G(t)f_k(N_t) = 0$. Since $G(t)f_k = f_jF(t)$, $f_jF(t)(N_t) = G(t)f_k(N_t) = 0$. Since $f_j$ is mono, $F(t)(N_t) = 0$. Hence, by Lemma 9, $u_k(N_t) = 0$. Hence, by Lemma 4, $u_k(M) = u_k(\sum N_t) = \sum u_k(N_t) = 0$. This is a contradiction. QED

Proposition 2 Let $\mathcal{A}$ be a cocomplete abelian category satisfying (AB5). Let $A$ be an object of $\mathcal{A}$. Let $(A_i)_I$ be a directed family of subobjects of $A$. Then, for every subobject $B$ of $A$, $(\sum A_i) \cap B = \sum (A_i \cap B)$.

Proof: Let $C = \sum A_i$. For each i, we have the following exact sequence.

$0 \rightarrow A_i \cap B \rightarrow A_i \rightarrow C/(C \cap B)$

By (AB5), Lemma 7.3 and Lemma 3, we get the following exact sequence.

$0 \rightarrow \sum (A_i \cap B) \rightarrow C \rightarrow C/(C \cap B)$

Hence $(\sum A_i) \cap B = \sum (A_i \cap B)$. QED

Makoto Kato
  • 44,216