15

In Hatcher's book we find, when computing the boundary maps of cellular homology,

Cellular Boundary Formula: $d_n(e^{n}_\alpha)=\sum_\beta d_{\alpha\beta}e^{n-1}_{\beta} $ where $d_{\alpha\beta}$ is the degree of the map $S^{n-1}_\alpha \rightarrow X^{n-1}\rightarrow S^{n-1}_\beta$ that is the composition of the attaching map of $e^{n}_\alpha$ with the quotient map collapsing $X^{n-1}- e^{n-1}_\beta $ to a point.

My question is:

When we identify $X^{n-1}/(X^{n-1}- e^{n-1}_\beta)$ with $S^{n-1}_\beta$, we are choosing a homeomorphism. Doesn't this choice affect the degree of the map in question?

Essentially (as I see it), we must choose a quotient map from $D^{n-1}$ to $S^{n-1}$ which identifies $S^{n-2}$ to a point.

Stefan Hamcke
  • 28,621
Bill
  • 1,042
  • You cannot use an arbitrary homeomorphism there. When you define a closed cell $e^{n-1}_{\beta}$ you are giving a map $D^{n-1} \to X^{n-1}$, sending the boundary to $X^{n-2}$ and boundary to $X^{n-2}$. Compose this with the collapsing map you get a quotient map from $D^{n-1}$ to $S^{n-1}$. This is the homeomorphism you want to use, and is probably what you mean by your "essentially" part anyway. –  Oct 23 '13 at 05:30
  • Thanks for you answer, @Sanchez , but when you say "Compose this with the collapsing map you get a quotient map from $D^{n−1}$ to $S^{n−1}$" how do you get $S^{n-1}$ there? (I know you get a space homeomorphic to it, but the problem is again, choosing the homeomorphism, right?) – Bill Oct 23 '13 at 05:36
  • (I'm copying this from chat, even though OP doesn't seem satisfied): continued from my last post, it boils down to fixing the right homeomorphism from $D^{n-1}/S^{n-2}$ to $S^{n-1}$. [This post] http://math.stackexchange.com/questions/24785/dn-quotient-by-its-boundary?rq=1 should give one such construction. –  Oct 23 '13 at 05:58
  • Again, that was my question. Which one is the right choice? You are not providing an answer. – Bill Oct 23 '13 at 06:02
  • 1
    (Copying this from chat) The choice does not matter, as long as it's consistent, as it would only change all the boundary maps by a sign at chain level, thus not affecting the homology groups. –  Oct 23 '13 at 06:14

3 Answers3

3

There is indeed a choice of homeomorphism $D^n/S^{n-1} \cong S^n$ but as others have pointed out this won't affect any homology calculations as long as you consistently use this homeomorphism for each cell.

However, the degree is affected by the choice of homeomorphism, so the cellular boundary formula as found in Hatcher is only right to a sign. In order for the cellular boundary formula to make sense it is necessary that the generators of $H_n(X^n, X^{n-1})$ are of the form $e_{\alpha}^n =\Phi_{\alpha *}^n([D^n])$ for a fixed generator $[D^n]$ of $H_n(D^n, S^{n-1})$. Now in order for the cellular boundary formula to hold we need that these generators fit together according to the sequence of isomorphisms

$H_n(D^n, S^{n-1}) \cong H_{n-1}(S^{n-1}) \cong H_{n-1}(D^{n-1}/S^{n-2}) \cong H_{n-1}(D^{n-1}, S^{n-1})$

where the first isomorphism is the boundary map coming from the long exact sequence for the pair $(D^n, S^{n-1})$ and the second isomorphism comes from the chosen homeomorphism $S^{n-1} \cong D^{n-1}/S^{n-2}$. If the homeomorphisms make the chosen generators incompatible then the formula may fail to hold.

This compatibility ensures the last two isomorphisms followed by $\Phi_{\beta *}^{n-1}$ sends $\partial [D^n]$ to $[D^{n-1}]$ and then to $e_{\beta}^{n-1}$. Thus it sends $\Delta_{\alpha \beta} \partial [D^n] = d_{\alpha \beta} \partial [D^n]$ to $d_{\alpha \beta} e_{\beta}^{n-1}$. The standard diagram chase shows $d_n(e_{\alpha}^n) = \sum_{\beta} (H_{n-1}(S^{n-1})\to H_{n-1}(D^{n-1}/S^{n-2}) \to H_{n-1}(D^{n-1}, S^{n-1}))\Delta_{\alpha \beta} \partial [D^n]$ so the theorem is proved.

Robin
  • 669
1

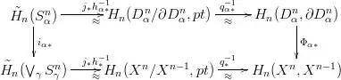
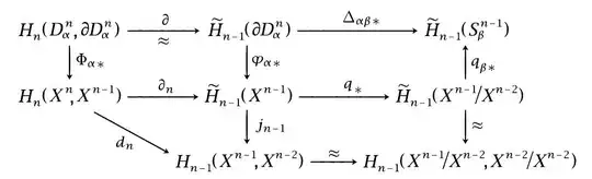
enter image description here

enter image description here

The left vertical arrow in the upper diagram is, up to the isomorphism described in the lower diagram, the inclusion of a direct $\Bbb Z$-summand into the direct sum. Composing this inclusion with $d_n$ and subsequently with the map to $\tilde H_{n-1}(S^{n-1}_\beta)$, which algebraically is the projection onto the direct summand for $\beta$, we get the composition $\Delta_{\alpha\beta*}\partial$. If we change the homeomorphism $h_β:D_β/∂D_β\to S_β$, so that the "typical" generator of $H_{n-1}(D_β,∂D_β)$ gets now mapped to the negated "typical" generator of $H_{n-1}(S_β)$, then each $e_β$ among the images of the cells under $d_n$ is replaced by $-e_β$. However, each $e_β$ among the generators of the kernel of $d_{n-1}$ would also have to be replaced by $-e_β$ since the value $d_{n-1}(e_β)$ has been negated by changing the homeomorphism. So overall nothing would change.

Stefan Hamcke
  • 28,621
-2

Notice that any homeomorphism has degree $1$, as it induces an isomorphism in homology. Thus there is absolutely no problem related to such a choice in the construction of cellular homology.