11

I am following Stein and Shakarchi's book on analysis (Real Analysis: Measure Theory, Integration, and Hilbert Spaces) and in Proposition 3.9 on p.86 they present a proof that if $f$ is a measurable function on $\mathbb{R}^d$ then $\hat{f}(x,y)=f(x-y)$ is measurable on $\mathbb{R}^d \times \mathbb{R}^d$.

The strange thing is, I can follow all the arguments in the proof but I cannot make sense of all of it, I can't string the facts together.

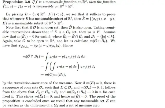
A snipped of the proof is as follows: (from Google books)

enter image description here

The book concludes the proof by saying that any measurable set $E$ can be written as a difference of a $G_\delta$ and a set of measure 0.

Alright so if I proceed with this then because $E=\{z \in \mathbb{R}^d:f(z)<a \} $ as defined in the book is measurable, then it can be written as $A-B$ where $A$ is a $G_\delta$ set while $m(B)=0.$ Now how do I relate this to $\tilde{E}$ as defined in the proof?

help very much appreciated!

Yuval Peres
  • 22,782

2 Answers2

9

Let's introduce a bit of further notation, and define

$$\mu \colon \mathbb{R}^d\times\mathbb{R}^d \to \mathbb{R}^d;\quad \mu(x,y) = x-y.$$

Then the notation in the proof is that $\tilde{M} = \mu^{-1}(M)$ for all (perhaps only all measurable) $M \subset \mathbb{R}^d$.

To show that $\hat{f} = f\circ \mu$ is measurable, it is shown that $\hat{f}^{-1}\bigl((-\infty,a)\bigr)$ is measurable for all $a$. Since $f$ is assumed measurable, $E_a = f^{-1}\bigl((-\infty,a)\bigr) \subset \mathbb{R}^d$ is known to be measurable for all $a$.

The proof now proceeds to show that for all (Lebesgue) measurable $E\subset \mathbb{R}^d$, the preimage $\mu^{-1}(E) \subset \mathbb{R}^d\times\mathbb{R}^d$ is also (Lebesgue) measurable. (Note that it would be trivial for Borel measurable sets, since $\mu$ is continuous.)

The first part of the proof treats a subset of the Borel sets, open sets and $G_\delta$ sets. The preimage of an open resp. $G_\delta$ set is open resp. a $G_\delta$ set, since $\mu$ is continuous.

The remainder of the proof treats the nontrivial case, that the preimage of a null set is also measurable. That finishes the proof because any measurable set is the difference of a $G_\delta$ set and a null set, so its preimage

$$\mu^{-1}(G_\delta \setminus N) = \mu^{-1}(G_\delta)\setminus \mu^{-1}(N)$$

is the difference of a $G_\delta$ set and a measurable set, hence measurable.

To show that the preimage of a null set $E\subset\mathbb{R}^d$ is measurable, the preimage is approximated by constraining the $y$ component,

$$\tilde{E}_k = \mu^{-1}(E)\cap \{(x,y) : \lVert y\rVert < k\}.$$

Then furthermore $E$ is approximated by open sets $O_n$ whose measure tends to $0$. Since the measure of $\mu^{-1}(O) \cap \{(x,y) : \lVert y\rVert < k\}$ is bounded by the measure of $O$ times the measure of the ball of radius $k$, it follows that $\tilde{E}_k \subset \bigcap (\mu^{-1}(O_n)\cap \{(x,y) : \lVert y\rVert < k\})$ is in fact a null set, hence measurable. Now $\mu^{-1}(E) = \tilde{E} = \bigcup \tilde{E}_k$ is seen to be the countable union of null sets, hence a null set.

Daniel Fischer
  • 211,575
  • 2
    Thank you, Daniel for the elucidation. It is very much appreciated - spent 2 hours trying to make sense out of the proof and so I decided to come here. It's the first one I've encountered in this book, thus far, which took me longer than usual to figure out. I realized that it was partly due to how the sets were named in the proof! – Tomas Jorovic Sep 28 '13 at 23:51
  • 2
    It would've been better if the set $E$ was not used to describe the set of measure zero because the set $E$ that was defined initially is not necessarily of zero measure. This is what I was confused about. Everything else though I understood. But once again, many many thanks!!! – Tomas Jorovic Sep 28 '13 at 23:52
  • 1
    But why $\tilde{E}_k \subset \bigcap_n (\mu^{-1}(O_n)\cap {(x,y) : \lVert y\rVert < k})$ is null? It seems that it is equivalent to say $\bigcap_n\mu^{-1}(O_n)$ is null if $O_n$ tends to a null set and this is what we want to prove. – mnmn1993 Feb 09 '18 at 16:37
  • @mnmn1993 For an open (or at least Borel) $O$, we have $\lambda^{2d}(\mu^{-1}(O) \cap {(x,y) : \lVert y\rVert < k}) = \lambda^d(O) \cdot \lambda^d({y : \lVert y\rVert < k})$, since by the Fubini or Tonelli theorem $$\lambda^{2d}\bigl(\mu^{-1}(O) \cap {(x,y) : \lVert y\rVert < k}) = \int_{\lVert y\rVert < k} \lambda^{d}(y + O) ,d\lambda^d(y) = \int_{\lVert y\rVert < k} \lambda^d(O),d\lambda^d(y) = \lambda^d(O) \cdot \lambda^d({y : \lVert y\rVert < k}).$$ For every fixed $k$, we therefore have $\lambda^{2d}\bigl(\mu^{-1}(O_n) \cap { (x,y) : \lVert y\rVert < k}\bigr) \to 0$. – Daniel Fischer Mar 03 '18 at 14:26
  • Hence $\lambda^{2d}\biggl(\bigcap_n \mu^{-1}(O_n) \cap {(x,y) : \lVert y\rVert < k}\biggr) = 0$, and thus $\lambda^{2d}(\tilde{E}_k) = 0$. – Daniel Fischer Mar 03 '18 at 14:26
  • I think your $\lambda^{d}$ is the Lebesgue measure. Why $\lambda(\mu^{-1}(O))=\lambda((O))$? Actually I am thinking that why $m(\mu^{-1}(O)\cap {|y|<k})$ will be small if $m(O)$ is small , here $m$ is the lebesgue measure. For example, we can prove that $m(f(O))$ is small if $m(O)$ is small if $f$ is Lip. since we have $|f(x)-f(y)|<C|x-y|$. But it seems that we have no condition to force our measure to be zero if $\mu(x,y)=x-y$. – mnmn1993 Mar 03 '18 at 17:35
  • For example, if $O$ is of small measure ,say ,$O=(-\delta,\delta)$ there are still many pairs of $(x,y)$ gives $\mu^{-1}(O)$, say, $(x,y)\in (a,a+\delta) \times (a,a+\delta) $ for infinitely many $a$. Then $m(\mu^{-1}(-\delta,\delta) )$ would be large. – mnmn1993 Mar 03 '18 at 17:38
  • 1
    @mnmn1993 Yes, $\lambda^r$ is the Lebesgue measure on $\mathbb{R}^r$. We typically don't have $\lambda^{2d}\bigl(\mu^{-1}(O)\bigr) = \lambda^d(O)$. What we do have is $$\lambda^{2d}\bigl(\mu^{-1}(O)\bigr) = \int_y \lambda^d\bigl({ (x \in \mathbb{R}^d : x - y \in O}\bigr),d \lambda^d(y).$$ By the translation-invariance of the Lebesgue measure, since for every fixed $y$ we have ${x : x-y \in O} = y + O$, we have $\lambda^d{ x : x - y \in O} = \lambda^{d}(O)$. And thus $\lambda^{2d}(\mu^{-1}(O)) = \lambda^d(O) \cdot \lambda^d(\mathbb{R}^d)$. Which of course is $+\infty$, unless (since $O$ – Daniel Fischer Mar 03 '18 at 18:49
  • 1
    is open) $O = \varnothing$. But that's why we intersect with $A_k := {(x,y) \in \mathbb{R}^{2d} : \lVert y\rVert < k}$. For then we have $$\lambda^{2d}\bigl(\mu^{-1}(O) \cap A_k\bigr) = \int_y \lambda^d\bigl({ x : x - y \in O, (x,y) \in A_k}\bigr),d\lambda^d(y) = \int_{\lVert y\rVert < k} \lambda^d\bigl({x : x - y \in O}\bigr),d\lambda^d(y) = \lambda^d(O)\cdot \lambda^d\bigl({y : \lVert y\rVert < k}\bigr).$$ And since the ball has finite measure, we see that (still for fixed $k$) $\lambda^{2d}\bigl(\mu^{-1}(O_n) \cap A_k\bigr) = C_k \cdot \lambda^d(O_n)$, – Daniel Fischer Mar 03 '18 at 18:49
  • 1
    for a constant $C_k$ depending on $k$ (and $d$) but on nothing else. Thus if $(O_n)$ is a sequence of open sets containing $E$ such that $\lambda^d(O_n) \to 0$, we can deduce $\lambda^{2d}\bigl(\mu^{-1}(E) \cap A_k\bigr) \leqslant \liminf_{n \to \infty} \lambda^{2d}\bigl(\mu^{-1}(O_n) \cap A_k\bigr) = 0$. – Daniel Fischer Mar 03 '18 at 18:52
  • Very clear, thanks, you have helped me many many times! – mnmn1993 Mar 04 '18 at 08:05
3

I also found this proof quite difficult to follow, and not very well-written. Here is my paraphrasing, which I break into four claims:


Assume $f$ is measurable. For each subset $A \subset \mathbb{R}^d$, define $$\widetilde{A} := \{(x,y) \in \mathbb{R}^d \times \mathbb{R}^d: x - y \in A \}. $$ Now fix $a \in \mathbb{R}$ and fix $E:= \{z \in \mathbb{R}^d : f(z) < a \}$. Since $f$ is measurable, the set $E$ is measurable. Now note that $ \widetilde{E} = \{(x,y): x-y \in E \} = \{(x,y): f(x-y) < a \} = \{\widetilde{f} < a \}.$ Thus, to show that $\widetilde{f}$ is measurable, it suffices to show that $\widetilde{E} \subset \mathbb{R}^d \times \mathbb{R}^d$ is measurable.

Claim 1: If $\mathcal{O} \subset \mathbb{R}^d$ is open, then $\widetilde{\mathcal{O}}$ is open.

Proof. Suppose $\mathcal{O}$ is open. Define $g: \mathbb{R}^d \times \mathbb{R}^d \to \mathbb{R}^d$ by $g(x,y) := x-y$, and note that $\widetilde{\mathcal{O}} = g^{-1}(\mathcal{O})$. Since $g$ is clearly continuous (because, e.g., it's linear) and $\mathcal{O}$ is open, the pre-image $g^{-1}(\mathcal{O}) = \widetilde{\mathcal{O}}$ is open.

Claim 2: If $G \subset \mathbb{R}^d$ is a $G_{\delta}$ set, then so is $\widetilde{G}$.

Proof. Suppose $G = \bigcap_{j=1}^{\infty} \mathcal{O}_j$, where each $\mathcal{O}_j \subset \mathbb{R}^d$ is open. Let $g$ be as in Claim 1. Observe that \begin{align*} \widetilde{G} = g^{-1}(G) = g^{-1} \left( \bigcap_{j=1}^{\infty} \mathcal{O}_j \right) = \bigcap_{j=1}^{\infty} g^{-1}(\mathcal{O}_j) = \bigcap_{j=1}^{\infty} \widetilde{O}_j. \end{align*}

Each $\widetilde{\mathcal{O}}_j$ is open by Claim 1, so $\widetilde{G}$ is indeed a $G_{\delta}$ set.

Now for each $k \in \mathbb{N}$, define $B_k := \{y \in \mathbb{R}^d: |y| < k \}$ and $C_k := \mathbb{R}^d \times B_k$.

Claim 3: If $\mathcal{O} \subset \mathbb{R}^d$ is open, then $m(\widetilde{\mathcal{O}} \cap C_k) = m(\mathcal{O}) \, m(B_k)$.

Proof. Let $\mathcal{O} \subset \mathbb{R}^d$ be open. Then $\widetilde{\mathcal{O}} \subset \mathbb{R}^d \times \mathbb{R}^d$ is open (by Claim 1) and hence measurable. Then each $C_k = \mathbb{R}^d \times B_k$ is measurable by Proposition 3.6 of the text. Now observe that
$$\chi_{\widetilde{\mathcal{O}} \cap C_k}(x,y) = \chi_{\mathcal{O}}(x-y) \chi_{B_k}(y)$$ for all $(x,y) \in \mathbb{R}^d \times \mathbb{R}^d$. Hence, \begin{align*} m(\widetilde{\mathcal{O}} \cap C_k) &= \int_{\mathbb{R}^d \times \mathbb{R}^d} \chi_{\widetilde{\mathcal{O}} \cap C_k} \\[5pt] &= \int_{\mathbb{R}^d} \left( \int_{\mathbb{R}^d} \chi_{\mathcal{O}}(x-y) \chi_{B_k}(y) \,dx \right) dy && (\text{Tonelli's theorem}) \\[5pt] &= \int_{\mathbb{R}^d} \chi_{B_k}(y) \left( \int_{\mathbb{R}^d} \chi_{\mathcal{O}}(x-y) \,dx \right) dy \\[5pt] &= \int_{\mathbb{R}^d} \chi_{B_k}(y) \left( \int_{\mathbb{R}^d} \chi_{\mathcal{O}}(x) \,dx \right) dy && (\text{Translation invariance of } {\textstyle{\int_{\mathbb{R}^d}}} ) \\[5pt] &= \left( \int_{\mathbb{R}^d} \chi_{\mathcal{O}}(x)\,dx \right) \left( \int_{\mathbb{R}^d} \chi_{B_k}(y) \right) \\[5pt] &= m(\mathcal{O}) m(B_k). \end{align*}


Claim 4: If $m(N) = 0$, then $m(\widetilde{N}) = 0$.

Proof. Let $N \subset \mathbb{R}^d$ and suppose $m(N) = 0$. Then there exists a sequence of open sets $(\mathcal{O}_n)_{n=1}^{\infty}$ in $\mathbb{R}^d$ such that $N \subset \mathcal{O}_n$ and $m(\mathcal{O}_n) \to 0$. Then $\widetilde{N} \subset \widetilde{\mathcal{O}}_n$ and so $\widetilde{N} \cap C_k \subset \widetilde{\mathcal{O}}_n \cap C_k$ for all $n$ and $k$. Thus, $m(\widetilde{N} \cap C_k) \leq m(\widetilde{O}_n \cap C_k) = m(\mathcal{O}_n) m(B_k)$ by Claim 3. Therefore, \begin{align*} m(\widetilde{N} \cap C_k) &\leq \lim_{n \to \infty} m(\mathcal{O}_n) m(B_k) = 0 \end{align*}

since $\lim\limits_{n \to \infty} m(\mathcal{O}_n) = 0$ and $m(B_k) < \infty$. Hence, $m(\widetilde{N} \cap C_k) = 0$ for all $k$. Then since $\widetilde{N} \cap C_k \nearrow \widetilde{N}$, it follows by the continuity of $m$ from below that \begin{align*} m(\widetilde{N}) = \lim_{k \to \infty} m(\widetilde{N} \cap C_k) = \lim_{k \to \infty} 0 = 0. \end{align*}

Now the result follows easily: Since $E$ is measurable, we have $E = G \setminus N$ where $G$ is a $G_{\delta}$ set and $N$ is a set of measure zero. Observe that $\widetilde{E} = \widetilde{G} \setminus \widetilde{E}$. Then $\widetilde{G}$ is a $G_{\delta}$ set by Claim 2, and $\widetilde{N}$ is a set of measure zero by Claim 4. Hence, $\widetilde{E} = \{ \widetilde{f} < a\}$ is indeed measurable. And since $a \in \mathbb{R}$ was arbitrary, $\widetilde{f}$ is a measurable function. $\qquad \square$

Leonidas
  • 1,188