4

Consider a deck of 52 standard playing cards which contains cards of 13 different values (Ace, 2, 3,...10, Jack, Queen, King) in 4 different suits (shapes). The deck is thoroughly shuffled and spread face-up on a table so that all the values and suits are visible. The cards are spread along a line and not along a circle so cards in position 1 and 52 are not next to each other. What is the probability where exactly one pair of cards of the same value (any color) are located next to each other somewhere in the deck?

I was trying to solve this using Derangement, so first find the probability of having no pairs. This can be done by using PIE, since there will be 52 pairs of cards, $$D(52) = 52!-\ ^{52}C_1\ 2!\ (52-1)!\ + \ ^{52}C_2\ (2!)^2\ (52-2)! + ....$$ But I think I am undercounting the arrangements. Can someone help me with this?

Amir
  • 11,124
sslucifer
  • 161
  • 2
    For what it's worth: A simulation seems to suggest that the probability of exactly one neighboring pair is about $0.145$. The expected number of neighboring pairs is exactly $3$ (counting $3$ in a row of a rank as two neighboring pairs; and $4$ in a row of a rank as $3$ neighboring pairs). – paw88789 May 02 '24 at 14:39
  • I do not understand why you are trying to use derangements. It doesn't make sense to me. Can you explain the thought behind it? I think there might be easier ways to solve it. – Rinkiny Ghatak May 02 '24 at 16:16
  • The case of no pairs is solved here with rook polynomials: https://arxiv.org/pdf/1911.07426 You might be able to do the exactly one pair -case like this: first pick what two cards will form the pair and glue them together. Then do the no pairs calculation for this modified deck. – ploosu2 May 02 '24 at 16:17
  • @ploosu2 this is how I was also approaching the problem, however, it is not clear how to find the no pair arrangments. – sslucifer May 02 '24 at 16:37
  • @paw88789 I just used your result in my answer. See Remark 2, where I have shown the number of pairs approximately follows Poisson distribution with mean $3$. – Amir May 02 '24 at 20:09

4 Answers4

4

The answer is given by

$$ \frac{13\cdot 4 \cdot 3}{52!} \int_0^\infty e^{-x}(x^{3} - 6 x^{2} + 6 x)(x^{4} - 12 x^{3} + 36 x^{2} - 24 x)^{12}dx = \frac{10971520051677934201049084030392994189}{75785709744934025854899427497123046875} = 0.144770301533151 $$

Notice: the integral turns $x^k$ into $k!$ and the calculation is thus trivial after multiplying out the polynomial inside. It's just notationally convienient.

Explanation: You pick what pair of cards is the adjacent pair and in which order it appears, hence the factor $13\cdot 4 \cdot 3$. Then you do the no pairs calculation for this modified deck where you assume that the pair you picked is glued together. I.e. you have only $3$ cards of the picked value and $4$ of the remaining $12$ values.

UPDATE: I made a Sage-function to calculate the probability that in a shuffled $k \times n$ deck ($k$ suits and $n$ values) there are exactly $r$ neighboring pairs of same value:

from collections import defaultdict, Counter

def getProb(k=4, n=13, r=1): R.<x> = QQ[] l = lambda m: sum((-1)jbinomial(m,j)binomial(m-1,j)factorial(j)x(m-j) for j in range(m+1)) countNbrFree = lambda a: sum(c*factorial(j) for j,c in enumerate(prod(l(s) for s in a)))

def waysInsideOneValue(remParts):
    ret = 0
    for p in Partitions(k, length=remParts):
        w = 1
        rest = k
        for y in p:
            w *= falling_factorial(rest, y)
            rest -= y
        ret += w/prod(factorial(s) for s in Counter(p).values())
    return ret

wIVals = [waysInsideOneValue(j) for j in range(k+1)]

def genGluings():
    for c in Partitions(r+n, length=n, max_part=k):
        ways = multinomial(Counter(c).values())*prod(wIVals[k-y+1] for y in c)
        yield ways, tuple(k-y+1 for y in c)

ret = 0
for ways,a in genGluings():
    ret += ways*countNbrFree(a)
return ret / factorial(k*n)


myK = 4 myN = 13

ps = [getProb(myK, myN, r) for r in range(myK*myN-myN+1)]

eVal = sum(rp for r,p in enumerate(ps)) pFunc = lambda t: eVal(round(t))exp(-eVal)/factorial(round(t)) upR = 14 show(bar_chart(ps[:upR+1]).plot()+plot(pFunc, (0, upR), color='black'))

The Poisson approximation given in @Amir's solution is fairly accurate (drawn as a black curve):

the probabilities as bar chart and the poisson pmf

UPDATE (24.5.2025):

It seems there's a better way to get the probability generating function:

def probGen(n, k):
    R.<x> = QQ[]
    N = k*n
    q = sum(binomial(k,j)*falling_factorial(k-1,j)*x^j for j in range(k+1))^n
    return list( sum(c/falling_factorial(N, j)*(x-1)^j for j,c in enumerate(q)) )
ploosu2
  • 12,367
3

For each $i=1,\dots,13$, let us define $P_i(x,y)$ with $x\neq y\in S:=\{A,B,C,D\}$ as the event of that the card with number $i$ of suit $x$ appear just after the card with number $i$ of suit $y$. Then, the probability of having at least one pair is given by

$$P\left \{(\cup_{i=1}^{13}\cup_{x\neq y\in S}P_i(x,y)) \right\}, $$

which can be computed by the inclusion-exclusion principle considering that the probability of the intersection of any set of events $$P_i(x,y),i=1, \dots,13,x\neq y\in S,$$ can be obtained by counting, but different cases need to be considred. Note that the probability of having a perfect shuffle is

$$1-P\left \{(\cup_{i=1}^{13}\cup_{x\neq y\in S}P_i(x,y)) \right\}. $$

The probability of having exactly one pair in the shuffle (I call it almost perfect shuffle) can be computed using the following extension of the inclusion-exclusion principle:

If $(A_j)_{j\in J}$ is a finite or countable collection of events, then the probability that exactly $k$ of these events occur is $$p(k)=\sum_i (-1)^{i-k}{i\choose k}\sum \mathbb{P}\left(\bigcap_{j\in J(i)}\, A_j\right)$$ where the sum runs over all subsets $J(i)$ of the index set with $i$ elements.

Now the desired probability is obtained by applying the above to the events $P_i(x,y),i=1, \dots,13,x\neq y\in S$ for $k=1$.

For similar problems, see these old questions 2, 3, and 4.

Remark 1. The calculations are straightforward, but may take a long time. However, the exact formula can be used to calculate the probability with required accuracy. I mean using upper and lower bounds similar to Bonferroni-type inequlities, which require to calculate only a limited number of events.

Remark 2. An approximate method to solve such a problem is to use Poisson approximation. We have $n=13×4×3$ events, each occurring with small probability of $p=\frac {1} {52}$, which are approximately independent; hence, the number of events that occur approximately follows Poisson distribution with $\lambda=n×p=3$. Thus, the probability of having an almost perfect shuffle is about $$P(X=1) \approx \frac{3^1e^{-3}}{1!}=0.149,$$ which is very close to the number $0.145$ obtained from stimulation by @paw88789. Also, it gives $$P(X=0) \approx \frac{3^0e^{-3}}{0!}=0.049,$$ which is very close to the probability of having a perfect shuffle obtained in 1 as $0.045$.

Amir
  • 11,124
  • If you are going to give a hint, you should be certain that the hint is actually possible to follow. I think that this method is too complicated to actually compute the answer, even with help of a computer. If you edit your answer to show that you are actually able to solve the problem with this method, I will change my downvote to an upvote. – Mike Earnest May 02 '24 at 17:53
  • I would also reverse my vote if you showed how to compute two Bonferroni bounds which are "close" to each other (say, within $0.1$ of each other). I think your method is too complicated even for a reasonable approximation, but I would love to be proven wrong. – Mike Earnest May 02 '24 at 19:18
  • @MikeEarnest I am currently traveling and have limited time, but I just added a simple approximation with good accuracy to the answer, which also well approximates the probability of having a perfect shuffel. The errors are less than 0.005. – Amir May 02 '24 at 20:05
  • 1
    Purely the fact that a nice expression is provided is enough for my upvote already. Moreover it is a good thing that persons who read this are made aware of the existence of an extension of PIE. – drhab May 03 '24 at 09:17
1

The purpose of this answer is to explain the background material cited in ploosu2's answer.

First, we set up the problem as Amir did in his answer. We are counting permutations of a set of $52$ cards while imposing several conditions, where each condition says that one particular card cannot follow another. Let $C$ be the set of conditions; explicitly, for each rank $r$, and each pair of distinct suits $s_1$ and $s_2$, there is a condition which says that $(s_1,r)$ cannot come immediately after $(s_2,r)$.

The generalized principle of inclusion exclusion says that $$ \text{# ways fulfill exactly one condition} = \sum_{S\subseteq C}(-1)^{|S|-1}\cdot |S|\cdot (\text{# ways fullfill conditions in $S$}) $$ Now, it turns out that you can prove the following:

Claim 1: For all $S\subseteq C$, the number of ways to fulfill all the conditions in $S$ is either $0$, or it is $(52-|S|)!$.

Proof sketch: First, consider when $|S|=1$. To be precise, say that the unique condition is that $\spadesuit2$ must come after $\newcommand{\sp}{\spadesuit} \sp 3$. When counting permutations that fulfill this condition, we can treat these two cards as a unit, and permute the entire sequence in $(52-1)!$ ways. When you have $k$ conditions, then there will be $k$ cards joined together like this, where each joining reduces the number of groups by $1$, so we permute the remaining $(52-k)$ groups in $(52-k)!$ ways. The exception is when the conditions are inconsistent; for example, if $S$ includes both "$\sp 2$ comes after $\sp 3$" and "$\sp 3$ comes after $\sp 2$", then all conditions in $S$ cannot be satisfied.

Let $c_k$ be the number of ways to choose a set of $k$ consistent conditions in $C$. With this definition, and using Claim 1, we can rewrite our previous equation as $$ \text{# ways fulfill exactly one condition} = \sum_{k=0}^{156}(-1)^{k-1}\cdot k\cdot c_k\cdot (52-k)! $$ All that remains is to compute the list of numbers $(c_0,c_1,\dots,c_{156})$. It turns out that there is a clever generating function solution.

Claim 2: $$\sum_{k\ge 0}^{156} c_kx^k=\left(1 + 12x+36x^2+24x^3\right)^{13}$$ Proof: Let us split up the process of choosing $k$ consistent conditions into two phases. In the first phase, we choose a list of number $(x_1,\dots,x_{13})$, where $x_i\ge 0$ for each $i$ and $x_1+\dots+x_{13}=k$. Then, in the second phase, for each $i\in \{1,\dots,13\}$, we will choose $x_i$ consistent conditions which involve the $i^\text{th}$ rank.

For each $j\in \{0,1,2,3\}$, let $r_j$ be the number of ways to choose $j$ consistent conditions in any particular rank. The number of ways to complete these two phases is $$ c_k=\sum_{x_1,\dots,x_{13}\ge 0,\\ x_1+\dots+x_{13}=k} \prod_{i=1}^{13}r_{x_i} $$ But this is just a $13$-fold Cauchy product of the series $(r_0,r_1,r_2,r_3)$. This implies the following generating function equation: $$ \sum_{k\ge 0}^{156} c_kx^k=\left(\sum_{i=0}^3r_ix^i\right)^{13} $$ Finally, you can prove that $$r_j=j!\cdot \binom{4}j\binom{3}j.$$ Indeed, there are $4\cdot 3$ ways to choose the first condition. Say we require that $\sp A$ comes after $\newcommand{\he}{\heartsuit}\he A$. Then we can treat the pair $(\he A,\sp A)$ as a unit, and count the number of ways to choose a condition among the three objects $(\he A,\sp A),\clubsuit A$ and $\diamondsuit A$. There are $3\cdot 2$ ways, to choose the next condition. In general, after $j-1$ conditions have been imposed, there are $(4-(j-1))\cdot (3-(j-1))$ ways to impose the next one, leading to $\frac{4!}{(4-j)!}\cdot \frac{3!}{(3-j)!}$ ways to impose $j$ conditions. However, we must divide by $j!$ to correct for the fact that order does not matter, leading to $\binom{4}{j}\cdot \binom{3}j\cdot j!$.

Mike Earnest
  • 84,902
  • The basic formula you used in your answer was already derived in my answer based the same set of 156 events and using the extention of inclusion-exclusion principle, but it was not clarfied in your answer. – Amir May 05 '24 at 07:18
  • You should be aware of what I have done in my answer as you down voted my answer considering the formula given in my answer not useful in practice, which has been turned out to be based on your answer. – Amir May 05 '24 at 07:19
  • 1
    @Amir I have edited my answer to give credit to your answer. – Mike Earnest May 05 '24 at 13:04
1

Essentially copied from an answer to a duplicate question

A binomial approximation is wrong, but easier than the exact calculation and closer than a Poisson approximation. The probability that a particular set of two cards have the same rank is $p=\frac{3}{51}=\frac{1}{17}$ so the expected number of pairs is $3$. With the false assumption these are independent, the probability of exactly one pair would be ${51\choose 1}p^1(1-p)^{50}\approx 0.14476858\ldots$

This compares to ploosu2's exact $0.14477030\ldots$ and Amir's Poisson approximation of $0.14936120\ldots$.


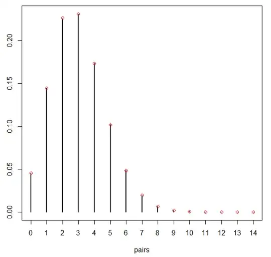
Simulation of the number of pairs (so with some simulation noise) suggests this may be quite good across the parts of the distribution with significant probability. Using R:

set.seed(2025)
suits <- 4
ranks <- 13
cards <- rep(1:ranks, suits)
cases <- 10^6
countpairs <- function(){ sum(diff(sample(cards)) == 0) }
pairs <- replicate(cases, countpairs())
mean(pairs) # should be about suits-1
# 3.001516
table(pairs)/cases
# pairs
#        0        1        2        3        4        5        6        7 
# 0.045523 0.144438 0.225555 0.231106 0.173531 0.102360 0.048600 0.019503 
#        8        9       10       11       12       13       14 
# 0.006728 0.001965 0.000542 0.000123 0.000017 0.000007 0.000002 

which, when compared to the suggested binomial approximation (red points), would look like

simulations and approximation

using

plot(table(pairs)/cases)
points(0:max(pairs), dbinom(0:max(pairs), suits*ranks - 1, 
                           (suits - 1) / (suits*ranks - 1)), col="red")
Henry
  • 169,616