0

enter image description here

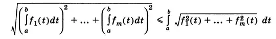
I need to understand how does this equation derives from Jensen inequality ($\varphi(\frac{1}{b-a}\int_{a}^{b}f(x)dx) \leq \frac{1}{b-a}\int_{a}^{b}\varphi(f(x))dx$) It seems that I can show that $(\int_{a}^{b}f(t)dt)^2 \leq (b-a)\int_{a}^{b}(f(t))^2dt$ by applying the Jensens inequality if consider $\varphi(x)=x^2$ but I can't get the idea of proving the full inequality on the picture. Thanks in advance!

bob
  • 61
  • 5

0 Answers0