3

I came up with this problem while messing around in Desmos and was very surprised by the solution I got from Wolfram Alpha. The integral calculator is unable to solve it and WolframAlpha does not provide an indefinite integral that could hint at a possible solution.

My intuition tells me to try integration by parts with $u=\ln(x)$ but I don't know how to take the integral of $\sin\left(\frac{1}{x^{2}}\right)$.

Dylan Levine
  • 2,122
  • 8
    This is essentially the derivative of the following result $$\int_0^{\infty}\frac{\sin(x)}{x^\alpha}dx=\frac{\Gamma(\alpha/2)\Gamma(1-\alpha/2)}{2\Gamma(\alpha)}$$

    After substituting $\frac{1}{x^2} \to x$.

    – Zacky Feb 24 '24 at 17:27

3 Answers3

3

Letting $x\mapsto \frac{1}{\sqrt x}$ yields $$ I=-\frac{1}{4} \int_0^{\infty} \frac{\sin x \ln x}{x^{\frac{3}{2}}} d =-\frac{1}{4} I^{\prime}\left(-\frac{1}{2}\right) $$ where $$ \begin{aligned} I(a) & =\int_0^{\infty} x^{a-1} \sin x d x \\ & =-\Im \int_0^{\infty} x^{a-1} e^{-i x} d x \\ & =-\Im\left(\frac{\Gamma(a)}{i^a}\right) \\ & =-\Gamma(a) \Im\left(e^{-\frac{\pi}{2} i a}\right) \\ & =\Gamma(a) \sin \left(\frac{\pi}{2} a\right) \end{aligned} $$ By logarithmic differentiation, we have $$ \begin{aligned} I(a) & =\Gamma(a) \sin \left(\frac{\pi}{2} a\right) \\ \ln I(a) & =\ln \Gamma(a)+\ln \sin \left(\frac{\pi}{2} a\right) \\ I^{\prime}(a) & =I(a)\left[\psi(a)+\frac{\pi}{2} \cot \left(\frac{\pi}{2} a\right)\right] \\ I^{\prime}\left(-\frac{1}{2}\right) & =-\Gamma\left(-\frac{1}{2}\right) \sin \frac{\pi}{4}\left[\psi\left(-\frac{1}{2}\right)-\frac{\pi}{2}\right] \\ & =2 \sqrt{\pi} \cdot \frac{1}{\sqrt{2}}\left(2-\gamma-\ln 4-\frac{\pi}{2}\right) \end{aligned} $$ now we can conclude that $$ \boxed{I=\sqrt{\frac{\pi}{2}}\left(\frac{\gamma}{2}+\frac{\pi}{4}+\ln 2-1\right)} $$

Lai
  • 31,615
2

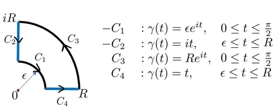
For $0 < \alpha < 2$, define $$ I(\alpha) = \int_{0}^{\infty} \frac{\sin(t)}{t^{\alpha}} \log{(t)}dt.$$ If $I(\alpha)$ can be computed then the given integral is solved since (for $\beta > 1$) $$\begin{align*} \int_{0}^{\infty} \sin{\left( \frac{1}{x^\beta}\right)} \log{(x)}dx &\overset{t = x^{-\beta}}{=} \int_{\infty}^{0} \sin{(t)}\log{(t^{-\frac{1}{\beta}})}\frac{-1}{\beta t^{1+\frac{1}{\beta}}} dt \\ &= -\frac{1}{\beta^2}\int_0^{\infty} \frac{\sin{(t)}}{t^{1+\frac{1}{\beta}}}\log{(t)}dt = -\frac{1}{\beta^2} I\left(1+\frac{1}{\beta}\right). \end{align*} $$ I considered a contour integration approach to solve $I(\alpha)$. Define complex function $f(z) = z^{-\alpha}\log(z)e^{iz}$ (principal) which is analytic in the following contour for $\epsilon,R > 0$, $R > 1 > \epsilon$: Contour and it's parameterizations.

From Cauchy integral theorem, $\int_{C_1}+\int_{C_2}+\int_{C_3}+\int_{C_4} f(z) dz =0$, or, $$ \int_{C_4} f(z) dz = \int_{\epsilon}^{R} \frac{e^{it}}{t^{\alpha}}\log{(t)} dt = -\int_{C_3}+\int_{-C_2}+\int_{-C_1} f(z)dz.(1) $$ Over contour $C_3$, \begin{gather*} \int_{C_3}f(z)dz = iR^{1-\alpha}\int_{0}^{\frac{\pi}{2}} e^{it(1-\alpha)}(\log{R}+it)e^{iR\cos{t}}e^{-R\sin{t}}dt \\ = iR^{1-\alpha}\log{(R)}\int_{0}^{\frac{\pi}{2}} e^{it(1-\alpha)}e^{iR\cos{t}}e^{-R\sin{t}}dt-R^{1-\alpha}\int_{0}^{\frac{\pi}{2}} t e^{it(1-\alpha)}e^{iR\cos{t}}e^{-R\sin{t}}dt \end{gather*} Therefore, as $R \to \infty$, (we used the fact that $\frac{2x}{\pi}\le \sin{x}$ for $0 \le x \le \frac{\pi}{2}$) \begin{align*}\left|\int_{C_3}f(z)dz\right| &\le R^{1-\alpha}\log{(R)}\int_{0}^{\frac{\pi}{2}}e^{-R\sin{t}}dt+R^{1-\alpha}\int_0^{\frac{\pi}{2}} te^{-R\sin{t}}dt \\ &\le R^{1-\alpha}\log{(R)}\int_{0}^{\frac{\pi}{2}}e^{-\frac{2R}{\pi}t}dt+R^{1-\alpha}\int_0^{\frac{\pi}{2}} te^{-\frac{2R}{\pi}t}dt \\ &= R^{1-\alpha}\log{(R)}\cdot \frac{\pi}{2R}\left(1-e^{-R} \right)+R^{1-\alpha}\cdot\frac{\pi^2}{4R}\left(\frac{1}{R}-e^{-R}-\frac{e^{-R}}{R}\right)\\ &= \frac{\pi}{2R^{\alpha}}\left(\log{(R)}\left(1-e^{-R} \right)+\frac{\pi}{2}\left(\frac{1}{R}-e^{-R}-\frac{e^{-R}}{R}\right) \right) \to 0. \end{align*} Taking limit $R \to \infty$, on both sides of (1), we obtain, $$ \int_{\epsilon}^{\infty} \frac{e^{it}}{t^{\alpha}}\log{(t)} dt =i\int_{\epsilon}^{\infty}(it)^{-\alpha}\left(\log{t}+i\frac{\pi}{2}\right)e^{-t}dt+ i\epsilon^{1-\alpha}\int_{0}^{\frac{\pi}{2}} e^{it(1-\alpha)}(\log{\epsilon}+it)e^{i\epsilon\cos{t}}e^{-\epsilon\sin{t}}dt. $$ Denote the two integrals on right side as $I_1,I_2$ respectively. Taking only the imaginary part of the above equation, $ \int_{\epsilon}^{\infty} \frac{\sin{t}}{t^{\alpha}}\log{(t)} dt = \text{Im}(I_1)+\text{Im}(I_2)$, where \begin{gather*} I_1 = e^{i\frac{\pi}{2}(1-\alpha)}\int_{\epsilon}^{\infty}t^{-\alpha}\log{(t)}e^{-t}dt-\frac{\pi}{2}e^{-i\frac{\pi}{2}\alpha}\int_{\epsilon}^{\infty}t^{-\alpha}e^{-t}dt,\\ \text{Im}(I_1) = \cos{\left( \frac{\pi}{2}\alpha\right)}\int_{\epsilon}^{\infty}t^{-\alpha}\log{(t)}e^{-t}dt+\frac{\pi}{2}\sin{\left( \frac{\pi}{2}\alpha\right)}\int_{\epsilon}^{\infty}t^{-\alpha}e^{-t}dt. \end{gather*} Define $\delta = 1-\alpha$, then using integration by parts $\int \frac{\log(t)}{t^{\alpha}}dt = \frac{t^{\delta}}{\delta}\left(\log(t)-\frac{1}{\delta}\right)$ and \begin{gather*} \int_{\epsilon}^{\infty}\frac{\log{(t)}}{t^{\alpha}}e^{-t}dt = \frac{\epsilon^{\delta}}{\delta}\left( \frac{1}{\delta}-\log{(\epsilon)}\right)e^{-\epsilon} +\frac{1}{\delta}\int_{\epsilon}^{\infty}t^{\delta}\log{(t)}e^{-t}dt-\frac{1}{\delta^2}\int_{\epsilon}^{\infty} t^{\delta}e^{-t}dt. \end{gather*} The first term cancels with the leading order terms of Im($I_2)$, thus, taking $\epsilon \to 0$, we obtain $$ \boxed{I(\alpha) = \frac{\cos{\left(\frac{\pi}{2}\alpha\right)}}{1-\alpha}\Gamma'(2-\alpha) -\frac{\cos{\left(\frac{\pi}{2}\alpha\right)}}{1-\alpha}\Gamma(1-\alpha)+\frac{\pi}{2}\sin{\left( \frac{\pi}{2}\alpha\right)}\Gamma(1-\alpha) }$$ where $\Gamma'(x) = \int_{0}^{\infty}t^{x-1}\log{(t)}e^{-t}dt$, (reference)

Sam
  • 3,763
2

$\newcommand{\bbx}[1]{\,\bbox[15px,border:1px groove navy]{\displaystyle{#1}}\,} \newcommand{\braces}[1]{\left\lbrace\,{#1}\,\right\rbrace} \newcommand{\bracks}[1]{\left\lbrack\,{#1}\,\right\rbrack} \newcommand{\dd}{\mathrm{d}} \newcommand{\ds}[1]{{\displaystyle #1}} \newcommand{\expo}[1]{\,\mathrm{e}^{#1}\,} \newcommand{\ic}{\mathrm{i}} \newcommand{\on}[1]{\operatorname{#1}} \newcommand{\pars}[1]{\left(\,{#1}\,\right)} \newcommand{\partiald}[3][]{\frac{\partial^{#1} #2}{\partial #3^{#1}}} \newcommand{\root}[2][]{\,\sqrt[#1]{\,{#2}\,}\,} \newcommand{\sr}[2]{\,\,\,\stackrel{{#1}}{{#2}}\,\,\,} \newcommand{\totald}[3][]{\frac{\mathrm{d}^{#1} #2}{\mathrm{d} #3^{#1}}} \newcommand{\verts}[1]{\left\vert\,{#1}\,\right\vert}$ \begin{align} & \color{#44f}{\int_{0}^{\infty}\sin\pars{1 \over x^{2}}\ln\pars{x}\dd x} \sr{x\ =\ t^{-1/4}}{=} -\,{1 \over 16}\int_{0}^{\infty}t^{-3/4}\,\ln\pars{t}{\sin\pars{\root{t}} \over \root{t}}\dd t \\[5mm] = & \ \left.-\,{1 \over 16}\partiald{}{\nu}\int_{0}^{\infty}t^{\pars{\nu\ +\ 1/4}\ -\ 1}\,\,\,\,\,{\sin\pars{\root{t}} \over \root{t}}\dd t\right\vert_{\nu\ =\ 0} \\[5mm] & \mbox{However,}\ {\sin\pars{\root{t}} \over \root{t}} = \sum_{n = 0}^{\infty}{\Gamma\pars{1 + n} \over \Gamma\pars{2 + 2n}}{\pars{-t}^{n} \over n!}\quad \mbox{such that} \\[5mm] & \color{#44f}{\int_{0}^{\infty}\sin\pars{1 \over x^{2}}\ln\pars{x}\dd x} = \left.-\,{1 \over 16}\partiald{}{\nu}\overbrace{{\Gamma\pars{\nu + {1 \over 4}}{\Gamma\pars{3/4 - \nu} \over \Gamma\pars{3/2 - 2\nu}}}}^{\substack{\ds{Ramanujan's\ Master}\\ \ds{Theorem}}}\right\vert_{\,\nu\ =\ 0} \\[5mm] = & \ \left.-\,{\pi \over 16}\partiald{}{\nu}{1 \over \sin\pars{\pi\bracks{\nu + 1/4}}\Gamma\pars{3/2 - 2\nu}}\right\vert_{\,\nu\ =\ 0} \\[5mm] = & \ \bbx{\color{#44f}{\root{\pi \over 2}\bracks{{\gamma \over 2} + {\pi \over 4} + \ln\pars{2} - 1}}} \approx 0.9615 \end{align}

Felix Marin
  • 94,079