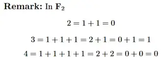
I often see field $\mathbf{Z}/\mathbf{2Z}=\{0,1\}$. Without other indication we might see elements of field $\mathbf{Z}/\mathbf{2Z}$ as a subset of $\mathbf{Z}$. Operations such as $2+1=3=1$ are also given as examples:
I understand this field is the one defining the sum modulo-2 (and the Boolean addition provided we associate False/True to $0$/$1$), and in $\mathbf {Z}$, $3$ modulo $2= 1$ but I've some difficulty to fully understand these statements:
- $2+1=3=1$ seems incorrect since the addition associated with field $\mathbf{Z}/\mathbf{2Z}$ (the modulo/boolean addition) is used on elements $2$ and $1$, but $2$ is not in $\mathbf{Z}/\mathbf{2Z}$.
- $3=1$ seems to be used (approximately) to indicate there is a correspondence between $3 \in \mathbf {Z}$ and $1 \in \mathbf {Z} / \mathbf {2Z}$.
On the other hand, my understanding is elements of field $\mathbf{Z}/\mathbf{2Z}$, denoted $0$ and $1$ are actually classes of elements of group $\mathbf{Z}$:
- $2+1$ should rather be written $0 + 1 = 1$, as $0$ (of $\mathbf{Z} / \mathbf{2Z}$) is the class corresponding to number $2$ (of $\mathbf{Z}$), and $1$ is the class corresponding to number $1$.
Can someone provide a rigorous explanation with a more accurate wording on what is the field $\mathbf{Z}/\mathbf{2Z}$, how is is related to $\mathbf{Z}$ and what is the nature of its elements?
