In example 8.5.8 of Oksendal text book, the Brownian motion is constructed on the unit sphere by defining time change $Z_t(\omega) = Y_{a(t,\omega)}(\omega)$ and $$ \alpha_t=\beta_t^{-1}\,,\quad \beta_t=\int_0^t\frac{1}{|B_s|^2}ds. $$
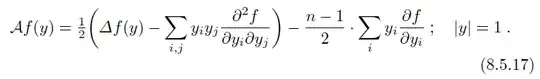
As mentioned for example here, the Brownian motion on the sphere is constructed such that it has generator $\frac{1}{2}\Delta_b$. . In other words, first we define the generator, and then we construct the BM based on that. Is my take correct that in the Oksendal method, the generator is derived after the construction using formula 8.5.17?
Can someone please (using formula 8.5.17) show that the generator of the Brownian motion is $\frac{1}{2} \Delta_b$?
