I am trying to find an algorithm with time complexity $O(1)$ for a boring problem code-named P-2000 problem. The answer to this boring question is a boring large number of $601$ digits. The DP algorithm mentioned in the last deleted question is just a dessert before dinner.
I want to delete the previous question for the following reasons:
- As Perter said, the previous question is boring.
- There will always be people trying to figure out that boring 601-digit number. I've never understood this kind of behavior.
- The following discussion is off topic, and even I am off topic.
If you have high enough permissions, you should still be able to view it. It's now classified. If I solve it one day in the future, I'll consider turning it back on.
I searched my memory and I found that all the clues pointed to the relationship between $\sum\limits_{n = 1}^{2x} \frac{1}{{n^s}^x}$ and $\sum\limits_{n = 1}^{2x-1} \frac{(-1)^{n-1}}{{n^s}^x}$ .
$$ Z(x,s)=\sum\limits_{n = 1}^{2x} \frac{1}{{n^s}^x} $$
$$ E(x,s)=\sum\limits_{n = 1}^{2x-1} \frac{(-1)^{n-1}}{{n^s}^x} $$
As you can see, these two formulas are very similar to Riemann zeta function $\zeta=\sum\limits_{\text{n}\space=\space1}^\infty\frac{1}{\text{n}^\text{s}}$ and Dirichlet eta function $\eta=\sum\limits_{\text{n}\space=\space1}^\infty\frac{\left(-1\right)^{\text{n}-1}}{\text{n}^\text{s}}$ .
We can get the relationship between $\zeta$ and $\eta$ and a proof here.
$$ \eta(s) = \left(1-2^{1-s}\right) \zeta(s) $$
When you look at this, you might intuitively guess that $Z(x,s)$ and $E(x,s)$ should have the same relationship.
$$ E(x,s) = (1-2^{1-s}) Z(x,s) $$
But that guess is wrong, and I wouldn't be here if it were that simple. Although the only difference is that the summation Angle has changed from infinity to a specific number. Just as Newton's theories of classical mechanics fail to explain black holes. It's a counterintuitive thing.
I think this relationship $\eta(s) = \left(1-2^{1-s}\right) \zeta(s)$ might correspond to the $P-\infty$ problem. It doesn't solve the problem of concrete numbers eg. P-2000.
Since then I have been immersed in The hotel Hilbert paradox.
Here's how I tried to derive it:
$$ E(x,s)=\sum\limits_{n = 1}^{2x-1} \frac{(-1)^{n-1}}{{n^s}^x} $$
$$ =\underbrace{\sum\limits_{n=1}^{x}\frac{(-1)^{2\text{n}-1-1}}{(2\text{n}-1)^{sx}}}_\text{odd part} $$
$$ +\underbrace{\sum\limits_{n=1}^{x-1}\frac{(-1)^{2n-1}}{(2n)^{sx}}}_\text{even part} $$
$$ =\sum_{n=1}^x\frac{(-1)^{2({n}-1)}}{(2n-1)^{sx}}+\sum_{{n}=1}^{x-1}\frac{(-1)^{2n-1}}{(2n)^{sx}}\tag1 $$
Now, we know that
$(-1)^{2(n-1)}=1 , \forall{n}\in\mathbb{N}$ and
$(-1)^{2n-1}=-1 , \forall{n}\in\mathbb{N}$ ,so we can write:
$$ E(x,s)=\sum_{n=1}^x\frac{1}{(2n-1)^{sx}}-\sum_{n=1}^{x-1}\frac{1}{(2n)^{sx}}\tag2 $$
Now, Let's add and subtract the same thing on the RHS:
$$ E(x,s)=\sum_{n=1}^x\frac{1}{(2n-1)^{sx}}-\sum_{n=1}^{x-1}\frac{1}{(2n)^{sx}} $$
$$ +\underbrace{\sum_{n=1}^{x-1}\frac{1}{(2n)^{sx}}-\sum_{{n}=1}^{x-1}\frac{1}{(2n)^{sx}}}_{=0} $$
$$ =\underbrace{\sum_{n=1}^x\frac{1}{(2n-1)^{sx}}}_\text{odd part} $$
$$ +\underbrace{\sum_{n=1}^{x-1}\frac{1}{(2n)^{sx}}}_\text{even part} $$
$$ -\\{\sum_{n=1}^{x-1}\frac{1}{(2n)^{sx}}+\sum_{n=1}^{x-1}\frac{1}{(2n)^{sx}}\\} $$
$$ =\sum_{n=1}^{2x-1}\frac{1}{n^{sx}}-2\sum_{n=1}^{x-1}\frac{1}{(2n)^{sx}}\tag3 $$
We can use the fact that:
$$ \frac{1}{\left(2\text{n}\right)^\text{sx}}=\frac{1}{2^\text{sx}\cdot\text{n}^\text{sx}} $$
$$ =\frac{1}{2^\text{sx}}\cdot\frac{1}{\text{n}^\text{sx}}=\frac{2^{-\text{sx}}}{\text{n}^\text{sx}}\tag4 $$
So:
$$ E(x,s)=\sum_{n=1}^{2x-1}\frac{1}{n^{sx}}-2\sum_{n=1}^{x-1}\frac{2^{-sx}}{n^{sx}} $$
$$ =\sum_{n=1}^{2x-1}\frac{1}{n^{sx}}-2^{1-sx}\sum_{n=1}^{x-1}\frac{1}{n^{sx}}\tag5 $$
Guess: There is no relationship between $Z(x,s)$ and $E(x,s)$ that is divisible by some factor.
$P-\infty$ problem ??????
The hotel Hilbert paradox ???????????
$$ E(x,s)=\sum_{n=1}^{2x-1}\frac{1}{n^{sx}}-2^{1-sx}\sum_{n=1}^{x-1}\frac{1}{n^{sx}}+\frac{1}{(2x)^{sx}}-\frac{1}{(2x)^{sx}} $$
$$ =\sum_{n=1}^{2x}\frac{1}{n^{sx}}-2^{1-sx}\sum_{n=1}^{x-1}\frac{1}{n^{sx}}-2^{-sx}\frac{1}{x^{sx}} $$
$$ Z(x,s)-E(x,s)=2^{-sx}\sum_{n=1}^{x-1}\frac{1}{n^{sx}}+2^{-sx}\sum_{n=1}^{x-1}\frac{1}{n^{sx}}+2^{-sx}\frac{1}{x^{sx}}+2^{-sx}\frac{1}{x^{sx}}-2^{-sx}\frac{1}{x^{sx}} $$
$$ Z(x,s)-E(x,s)=2^{1-sx}\sum_{n=1}^{x}\frac{1}{n^{sx}}-\frac{2^{-sx}}{x^{sx}}\tag6 $$
$$ Z(x,s)-E(x,s)=2^{-sx}(2\sum_{n=1}^{x}\frac{1}{n^{sx}}-\frac{1}{x^{sx}})\tag7 $$
$$ \frac{Z(x,s)-E(x,s)}{Z(x,s)}=2^{-sx}\frac{2\sum\limits_{n=1}^{x}\frac{1}{n^{sx}}-\frac{1}{x^{sx}}}{\sum\limits_{n = 1}^{2x} \frac{1}{{n^s}^x}} $$
$$ \frac{Z(x,s)-E(x,s)}{Z(x,s)}=2^{-sx}\frac{2\sum\limits_{n=1}^{x}\frac{1}{n^{sx}}-\frac{1}{x^{sx}}}{\sum\limits_{n = 1}^{2x} \frac{1}{{n^s}^x}} $$
$$ \frac{E(x,s)}{Z(x,s)}=1-2^{-sx}\frac{2\sum\limits_{n=1}^{x}\frac{1}{n^{sx}}-\frac{1}{x^{sx}}}{\sum\limits_{n = 1}^{2x} \frac{1}{{n^s}^x}}=1-2^{-sx}A $$
$$ A=\frac{2\sum\limits_{n=1}^{x}\frac{1}{n^{sx}}-\frac{1}{x^{sx}}}{\sum\limits_{n = 1}^{2x} \frac{1}{{n^s}^x}} $$
expand the summation sign
reduction of fractions to a common denominator.
$$ A=\frac{2(\frac{1}{1^{sx}}+\frac{1}{2^{sx}}+\frac{1}{3^{sx}}+\dots+\frac{1}{x^{sx}})-\frac{1}{x^{sx}}}{ \frac{1}{1^{sx}}+\frac{1}{2^{sx}}+\frac{1}{3^{sx}}+\dots+\frac{1}{x^{sx}}+\dots+\frac{1}{(2x)^{sx}} } $$
$$ A=\frac{2((1\cdot2\cdot3\cdots x\cdots2x)^{sx}+(1\cdot3\cdot4\cdots x\cdots2x)^{sx}+ (1\cdot2\cdot4\cdots x\cdots2x)^{sx}+\cdots+(1\cdot2\cdot3\cdots (x-1)(x+1)\cdots2x)^{sx})-(1\cdot2\cdot3\cdots (x-1)(x+1)\cdots2x)^{sx}}{ (1\cdot2\cdot3\cdots x\cdots2x)^{sx}+(1\cdot3\cdot4\cdots x\cdots2x)^{sx}+ (1\cdot2\cdot4\cdots x\cdots2x)^{sx}+\cdots+(1\cdot2\cdot3\cdots (x-1)(x+1)\cdots2x)^{sx}+\cdots+(1\cdot2\cdot3\cdots x\cdots(2x-1))^{sx} } $$
$$ A=\frac{2\sum\limits_{n=1}^{x}(\frac{(2x)!}{n})^{sx}-(\frac{(2x)!}{x})^{sx}}{\sum\limits_{n = 1}^{2x} (\frac{(2x)!}{n})^{sx}} $$
$$ 2^{-sx}A=\frac{2(2^{-sx}(1\cdot2\cdot3\cdot4\cdot5\cdot6\cdot7\cdot8\cdot9\cdots (x-4)(x-3)(x-2)(x-1)x(x+1)(x+2)(x+3)(x+4)(x+5) \cdots (2x-6)\cdot(2x-5)\cdot(2x-4)\cdot(2x-3)\cdot(2x-2)\cdot(2x-1)2x)^{sx} + \cdots)-\cdots}{\cdots} $$
$$ 2^{-sx}A=\frac{2\times2^{-sx}((2^{x}x!(2x-1)!!)^{sx} + \cdots)-\cdots}{\cdots} $$
$$ 2^{-sx}A=\frac{2\sum\limits_{n=1}^{x}(\frac{2^{x-1}x!(2x-1)!!}{n})^{sx}-(\frac{2^{x-1}x!(2x-1)!!}{x})^{sx}}{\sum\limits_{n = 1}^{2x} (\frac{(2x)!}{n})^{sx}} $$
$n!=1\times2\times3\times4\times5\times6\times\cdots \times n$
$(2n)!!=2\times4\times6\times8\times\cdots \times 2n$
$(2n-1)!!=1\times3\times5\times7\times\cdots \times (2n-1)$
$(2n)!=(2n)!!\times(2n-1)!!$
$(2n)!!=2\times4\times6\times8\times\cdots \times 2n$
$=2^n(1\times2\times3\times4\times5\times6\times\cdots \times n)$
$=2^nn!$
$(2n-1)!!=\frac{(2n)!}{(2n)!!}=\frac{(2n)!}{2^nn!}$
$$ 1-2^{-sx}A=1-\frac{2\sum\limits_{n=1}^{x}(\frac{2^{x-1}x!(2x-1)!!}{n})^{sx}-(\frac{2^{x-1}x!(2x-1)!!}{x})^{sx}}{\sum\limits_{n = 1}^{2x} (\frac{(2x)!}{n})^{sx}} $$
$$ 1-2^{-sx}A=1-\frac{2\times(2^{x-1}x!(2x-1)!!)^{sx}\sum\limits_{n=1}^{x}\frac{1}{n^{sx}}-(2^{x-1}(x-1)!(2x-1)!!)^{sx}}{((2x)!)^{sx}\sum\limits_{n = 1}^{2x} \frac{1}{n^{sx}}} $$
$$ Z(x,s)=\sum\limits_{n = 1}^{2x} \frac{1}{{n^s}^x} $$
$$ E(x,s)=\sum\limits_{n = 1}^{2x-1} \frac{(-1)^{n-1}}{{n^s}^x} $$
$$ \frac{E(x,s)}{Z(x,s)}=1-\frac{2\times(2^{x-1}x!(2x-1)!!)^{sx}\sum\limits_{n=1}^{x}\frac{1}{n^{sx}}-(2^{x-1}(x-1)!(2x-1)!!)^{sx}}{((2x)!)^{sx}\sum\limits_{n = 1}^{2x} \frac{1}{n^{sx}}} $$
$$ 2^n=2\times2^{n-1} $$
$$ \frac{E(x,s)}{Z(x,s)}=\frac{ (2^{x}x!(2x-1)!!)^{sx}\sum\limits_{n = 1}^{2x} \frac{1}{n^{sx}}- 2\times(2^{x-1}x!(2x-1)!!)^{sx}\sum\limits_{n=1}^{x}\frac{1}{n^{sx}}+(2^{x-1}(x-1)!(2x-1)!!)^{sx}}{((2x)!)^{sx}\sum\limits_{n = 1}^{2x} \frac{1}{n^{sx}}} $$
$$ \frac{E(x,s)}{Z(x,s)}=\frac{ (2^{x-1}x!(2x-1)!!)^{sx}(2^{sx}\sum\limits_{n = 1}^{2x} \frac{1}{n^{sx}}-2\sum\limits_{n=1}^{x}\frac{1}{n^{sx}}+\frac{1}{x^{sx}})}{ ((2x)!)^{sx}\sum\limits_{n = 1}^{2x} \frac{1}{n^{sx}} } $$
Here they can't be divisible by a formula, and I'm reminded of the irrational proof for the $\sqrt2$ , $e$ , and maybe we can prove by contradiction that it doesn't have this sort of divisible relationship.
The factorials that appear above are the result of the reduction of fractions to a common denominator, you can't cancel the factorials.
You can see that this formula $\frac{E(x,s)}{Z(x,s)}$ is very dirty and it has summation symbols, so how do we clean up these summation symbols?
As far as I can remember, a logarithmic method was used seven years ago.
$$ f(x,s) = \log_{\frac{1-(\frac{1}{2^s})^{2x}}{1-\frac{1}{2^s}} }{(\frac{\sum\limits_{a = 1}^{2x} \frac{1}{{a^s}^x} }{ \sum\limits_{a = 1}^{2x-1} \frac{(-1)^{a-1}}{{a^s}^x} } )} $$
We apply the Mellin transform, and we get:
$$ f(x,s) = \log_{\frac{1-(\frac{1}{2^s})^{2x}}{1-\frac{1}{2^s}} }{(\frac{\sum\limits_{a = 1}^{2x} \frac{1}{{a^s}^x} }{ \sum\limits_{a = 1}^{2x-1} \frac{(-1)^{a-1}}{{a^s}^x} } )}=\log_{\frac{1-(\frac{1}{2^s})^{2x}}{1-\frac{1}{2^s}} }{(\frac{\frac{(-1)^{sx-1}}{\Gamma (sx)}\int_{0}^{1} \frac{1-t^{2x}}{1-t} ln^{sx-1}tdt }{\frac{(-1)^{sx-1}}{\Gamma (sx)}\int_{0}^{1} \frac{1-(-t)^{2x-1}}{1+t} ln^{sx-1}tdt } )} $$
And when we simplify this, we get:
$$ f(x,s) = \log_{\frac{1-(\frac{1}{2^s})^{2x}}{1-\frac{1}{2^s}} }{(\frac{\sum\limits_{a = 1}^{2x} \frac{1}{{a^s}^x} }{ \sum\limits_{a = 1}^{2x-1} \frac{(-1)^{a-1}}{{a^s}^x} } )}=\log_{\frac{1-(\frac{1}{2^s})^{2x}}{1-\frac{1}{2^s}} }{(\frac{\int_{0}^{1} \frac{1-t^{2x}}{1-t} ln^{sx-1}tdt }{\int_{0}^{1} \frac{1-(-t)^{2x-1}}{1+t} ln^{sx-1}tdt } )} $$
I remember that f(x,s) can be reduced to a factorial representation or a double factorial representation, without a summation sign.
I don't remember how to simplify it, and I can't simplify it.
I still have these things in my memory.
Logarithmic base change formula.
$$ f(x,s) = \frac{ln\frac{\sum\limits_{a = 1}^{2x} \frac{1}{{a^s}^x} }{ \sum\limits_{a = 1}^{2x-1} \frac{(-1)^{a-1}}{{a^s}^x} } }{ln\frac{1-(\frac{1}{2^s})^{2x}}{1-\frac{1}{2^s}}} = \frac{ln\frac{\int_{0}^{1} \frac{1-t^{2x}}{1-t} ln^{sx-1}tdt }{\int_{0}^{1} \frac{1-(-t)^{2x-1}}{1+t} ln^{sx-1}tdt } }{ln\frac{1-(\frac{1}{2^s})^{2x}}{1-\frac{1}{2^s}}} $$
Notice that the logarithm reacts with the product. Weierstrass factorization theorem is used for fractions in logarithms of $ln$ .
$$ ln\prod x_i=\sum lnx_i $$
In algebra, a polynomial is often represented as the product of its prime factors, and an integral function can be similarly represented as an infinite product when the integral function has infinitely many zeros.
At this point, we will be faced with the problem of finding the zeros of $\int_{0}^{1} \frac{1-t^{2x}}{1-t} ln^{sx-1}tdt$ . Let an integral in the interval of [0,1] be zero.
I vaguely remember that if a function is symmetric about the center of a point $(\frac{1}{2},0)$ in the interval [0,1], its integral is zero. But I have been unable to find this symmetric relationship to make it correspond to my memory.
$$ \lim_{x\to 0^+} \frac{1}{4x^2}\int_{-x}^{x}[f(t+x)-f(t-x)]dt=f'(0) $$
This formula might be useful, although I don't remember what it's for, right.
It's hard for me to put the pieces of my memory together.
I think I've done most of the processing on the left side of the equation, and I'm having problems with the right side.
my problem
Find the zeros of $\int_{0}^{1} \frac{1-t^{2x}}{1-t} ln^{sx-1}tdt$
Explore the logarithmic relationship between $\sum\limits_{n = 1}^{2x} \frac{1}{{n^s}^x}$ and $\sum\limits_{n = 1}^{2x-1} \frac{(-1)^{n-1}}{{n^s}^x}$
I can provide clues from my past memories
There are several equivalent transformations when it comes to finding roots:
- The roots of equation
- The intersection of the function image
- The zeros of function
- Rolle's theorem
But none of these methods worked.
$\int_{0}^{1} \frac{1-t^{2x}}{1-t} ln^{sx-1}tdt=0$ . It was able to be solved seven years ago because there was a coincidental relationship, which I had forgotten, and which I cannot observe now.
Substitution or interval reproduction formulas may work.
Let an integral in the interval of [0,1] be zero.
I vaguely remember that if a function is symmetric about the center of a point $(\frac{1}{2},0)$ in the interval [0,1], its integral is zero. But I have been unable to find this symmetric relationship to make it correspond to my memory.
If $f(x)$ is centrosymmetric about points $(a,b)$ then $f(x+a)+f(a-x)=2b$ .
Let $f(x)$ have a continuous derivative at $(-\infty,+\infty)$ :
$$ \lim_{x\to 0^+} \frac{1}{4x^2}\int_{-x}^{x}[f(t+x)-f(t-x)]dt=f'(0) $$
This formula might be useful, although I don't remember what it's for, right.
The derivation above is simple:
By the mean value theorems for definite integrals, $\exists \xi\in[-x,x]$ , we get:
$$ \int_{-x}^{x}[f(t+x)-f(t-x)]dt=2x[f(\xi+x)-f(\xi-x)] $$
By the Lagrange mean value theorem, we get:
$$ f(\xi+x)-f(\xi-x)=2xf'(\eta) $$
$$ \eta\in(\xi-x,\xi+x)\subset[-2x,2x] $$
therefore:
$$ \lim_{x\to 0^+} \frac{1}{4x^2}\int_{-x}^{x}[f(t+x)-f(t-x)]dt=\lim_{x\to 0^+} \frac{2x\cdot2xf'(\eta)}{4x^2}=\lim_{\eta\to 0^+}f'(\eta)=f'(0) $$
My account is scheduled to be deleted in 8 hours. I don't think I'm coming back. The way things work here feels a little anti-human to me.
I'll give you a few more clues before I leave.
The logarithm relationship above is a well-designed formula that satisfies the prerequisites for the generalized Euler product formula.
This relation is the initial condition for chaos to occur.
The operation of taking a higher derivative produces many factorials, which interacts with the factorial here to produce chaos.
The secret of P-2000 lies in chaos.
And why is it strange that these two things are directly divided.There is a broad irrationality here.I didn't find a theory.The only thing I know is a story about a man who once discovered that the square root of two was irrational, and he died.
That's the point:
$\int_{0}^{1} \frac{1-t^{2x}}{1-t} ln^{sx-1}tdt=0$
Off-topic clues
My account is scheduled to be deleted in 1 hour.
I'll add something that deviates from the discussion here, but they could also be clues.
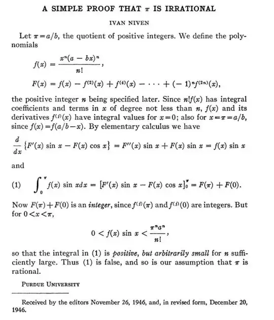
A half-page paper proving the irrationality of $\pi$.
No one knows how the person who wrote this paper came up with it, but everyone else calls it the integral given by God.
$$ F(x)=f(x)-f^{(2)}(x)+f^{(4)}(x)-\dots+(-1)^nf^{(2n)}(x) $$
The Easter egg is that the formula $F(x)$ appears in the process of solving the P-2000 problem.
This shows that some number shows irrationality in the process of solving the problem.
You should notice that there are higher derivatives here. Unfortunately, I can't get this far with my derivation, and I got stuck halfway through.
P-2000 problem is this:
Find the number of subsets of $\{1,2,3,4,5,\dots,2000\}$,the sum of whose elements is prime.
I beg you to stop trying to calculate that boring big number.
