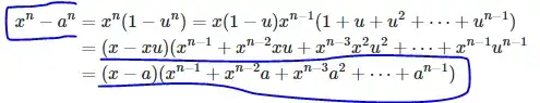
I have found this identity $x^{n} - a^{n}= (x - a)(x^{n-1} + ax^{n-2} + \dots + a^{n-1})$ while reading Calculus by James Stewart, where it is needed to solve an exercise about partial fractions. However, I haven't been able to find its proof in any known precalculus or basic algebra book. Although it is sometimes proven how $(x-a)$ is a factor of $x^n-a^n$, the proof for the full identity is never shown.
The image below shows a proof found on the Internet, but no actual text book has been found that shows this identity and/or proves it.
