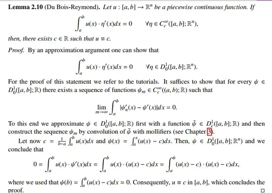
I am suspicious about the validity of the following proof. I have two doubts that are bugging me:

1) If the proof, is it true that $\psi \in D_0^1([a,b];\mathbb{R}^n)$? I mean $\psi$ is the integral of $u$ : $\psi = \int_a^x (u(s)-c)ds$ which is is piecewise-continuous, so in the eventual discontinuity points, also the integral is discontinuous, isn't it? So why would the $\psi$ be necessarily continuous?
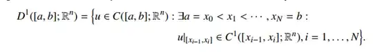
Note : $D_0^1([a,b];\mathbb{R}^n)$ means functions in $D^1([a,b];\mathbb{R}^n)$ that vanish the endpoints. And $D^1([a,b];\mathbb{R}^n)$ is the class of piecewise continuously differentiable functions (which are continuous by definition):
2) Is the statement actually correct? I mean,everywhere I look I can just find a version of the lemma for $u$ continuous and not a single one for $u$ piecewise continuous as in my case. Where exactly in the proof is that hypothesis used? (I guess only in the step regarding my first question only?) Do you know where can I find the proof for my case?(In case this one is correct, it is missing the first step that they argue follows by an approximation argument) Or can you provide one?
