2

Here is my proof:

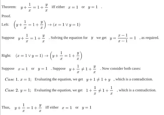
enter image description here

How can I improve it?
In the bottom one, I decided to use proof by contradiction because I think it's not legitimate to assume that the conclusion's equation is true.

Would it be invalid to do this instead?:

Case 1. $x=1$. Evaluating the equation we get $y + 1/1 = 1 + y/1$, which is true, as required.

Case 2. $y=1$. Evaluating the equation we get $1 + 1/x = 1+1/x$, which is true, as required.

ryang
  • 44,428

5 Answers5

5

Regarding your first proof, note that when writing a proof, you shouldn't be too stingy with displaying your steps; in particular, claiming that "solving for $y$ we get the required equation", although correct, doesn't make for a persuasive proof (and persuading the reader really is the whole point of a proof)!

It also needs a small correction in its fourth line: \begin{align}&y+\frac1x=1+\frac yx\\\implies{}& xy+1=x+y\\\implies{}& y(x-1)-(x-1)=0\\\implies{}&(y-1)(x-1)=0\\\implies{}& x=1 \quad\text{ or }\quad y=1,\end{align} as required. (Alternatively: $\cdots\implies y(x-1)=x-1\implies x=1\quad\text{or}\quad y=\dfrac{x-1}{x-1}\cdots,$ where the left disjunct protects against division by zero, which, with practice, one knows to look out for.)

I think it's not legitimate to assume that the conclusion's equation is true.

There's no such rule. (In two of your previous questions, you were proving assertions by first assuming them to be true, which is circular reasoning. The other point is not that you cannot make particular assumptions about equations or whatever, but that assumptions should be treated as provisional.)

Would it be invalid to do this instead?:

Case 1. $x=1$. Evaluating the equation we get $y + 1/1 = 1 + y/1$, which is true, as required.

Case 2. $y=1$. Evaluating the equation we get $1 + 1/x = 1+1/x$, which is true, as required.

Well what's actually being required is $$\color\red{ y+\frac1x=}\color\violet{1+\frac yx},$$ so a better presentation is (just showing Case 1 as example):

  • Case 1. $x=1:$ $$\color\red{y+\frac1x=}y+\frac11=y+1=1+\frac y1=\color\violet{1+\frac yx},$$ as required.

I was actually secretly working separately from each side of the equation and meeting in the middle but, for a more succinct presentation, I'm sewing the two pieces together as one line.

ryang
  • 44,428
  • im so confused, im reading the book "How to prove it" and it doesnt teach me stuff like this. Can you recommend me a book about logic that i should also read? – enoopreuse22 May 18 '23 at 19:05
  • @ryang for example: "assumptions should be treated as provisional", can you give an example of treating an assumption as provisional and not provisional? – enoopreuse22 May 18 '23 at 19:11
  • @enoopreuse22 Did you slowly read my previous answer? You've asked several questions whose answers can be found in that answer. Anyhow: as pointed out there, that assumption that you make in a proof by contradiction is provisional. Treating an assumption as not provisional (i.e., assuming something then acting as if it's definitely true) is of course illegal and two recent examples are those two mistakes in those two questions of yours that we've just conversed under. – ryang May 18 '23 at 19:18
  • @ryang that answers my question...many thanks! +1 – Mike May 18 '23 at 21:40
3

Case 1. $x=1$. Evaluating the equation we get $y + 1/1 = 1 + y/1$, which is true, as required .

Case 2. $y=1$. Evaluating the equation we get $1 + 1/x = 1+1/x$, which is true, as required.

So, would it be invalid to it like that?

I think, that is not correct . Because, the original statement requires the bidirectional conclusion . You need to prove that, $y + 1/x=1+y/x$ is correct, $\color{red}{\rm {iff}}$ when $x=1$ or $y=1$ . But, not only $\color{red}{\rm {if}}$ $x=1$ or $y=1$, then $y + 1/x=1+y/x $ is correct.


Solving the equation respect to $y$, you have:

If $x≠1$, then you have $y=1$ :

$$y=\frac {x-1}{x-1}=1$$

$\color{red}{\rm{and}}$ if $x=1$, then $y+1=1+y\thinspace $ which is correct .

Similarly, if $y≠1$ then you have $x=1$ :

$$x=\frac {y-1}{y-1}=1$$

$\color{red}{\rm{and}}$ if $y=1$, then $1+1/x=1+1/x\thinspace $ which is also correct .

This completes the answer .


But, the quick computation is also possible . Indeed,

$$ \begin{align}&y+\frac 1x=1+\frac yx\\ \iff &y+\frac 1x-1-\frac yx=0\\ \iff &(y-1)-\frac 1x(y-1)=0\\ \iff &\frac {(x-1)(y-1)}{x}=0\thinspace .\end{align} $$

which is equivalent to :

For all $x≠0$, the equality

$$y+\frac 1x=1+\frac yx$$ holds, if and only if, when $x=1$ or $y=1\thinspace .$

2

For you to see if your proof is good or not you can begin by rewriting your equation on the left hand-side, $$y + \frac{1}{x} = 1 + \frac{y}{x}$$ which is the same as $$y + \frac{1}{x} -1 - \frac{y}{x} = 0$$ $$\frac{1}{x}(1 - y) - (1 - y) = 0$$ $$(1-y)\left(\frac{1}{x} - 1\right) = 0$$ Now you want to prove the following : $$(1-y)\left(\frac{1}{x} - 1\right) = 0 \iff x = 1 \wedge y = 1$$ since $x,y \in \mathbb{R}$ i suppose, the proof from right to left is obvious, now from left to right you can indeed do it by absurd, suppose that the left handside is not equal to $0$, then neither $x$ or $y$ are equal to 1 : $$(1-y)\left(\frac{1}{x} - 1\right) \neq 0 \implies x \neq 1 \vee y \neq 1$$ which finishes your proof

In this whole proof i supposed that $x \neq 0$ or else $\frac{1}{x}$ couldn't have been defined

0

The right-to-left direction is easy. For the left-to-right direction, it's often a good idea to approach a problem like this by looking at the assumptions and trying to transform them into something that implies the answer you are looking for:

Your assumption in the left-to-right direction is:

$$y + \frac{1}{x} = 1 + \frac{y}{x}$$

This doesn't make sense if $x = 0$, so we can assume $x \neq 0$ and multiply through by $x$ to give:

$$ xy + 1 = x + y$$

which rearranges to:

$$xy - x - y + 1 = 0$$

and that rearranges to:

$$(x - 1) (y - 1) = 0$$

which holds iff $x = 1$ or $y = 1$, which is what we wanted.

Subject to the necessary condition that $x \neq 0$, the above steps are all equivalences, so they cover the right-to-left direction as well.

Rob Arthan
  • 51,538
  • 4
  • 53
  • 105
0

For the left to right proof, you can use the zero product property:

\begin{align*} y + \frac{1}{x} &= 1 + \frac{y}{x} \\ xy + 1 &= x + y \\ xy - x - y + 1 &= 0 \\ (x - 1)(y - 1) &= 0 \end{align*}

Here, you can say that either $x - 1 = 0$ or $y - 1 = 0$.


And for the right to left proof, we'll do a proof by cases:

  • Case 1: Suppose $x = 1$. Then,

\begin{align*} x &= 1 \\ 1/x &= 1 \\ y/x &= y \\ 1 + y/x &= y + 1 \end{align*}

Since $1 = 1/x$, then we'll have $1 + y/x = y + 1/x$.

  • Case 2: Suppose $y = 1$. Then, \begin{align*} y &= 1 \\ y/x &= 1/x \\ 1 + y/x &= 1 + y/x \end{align*}

Since $y = 1$, we can just swap $1$ and $y$ in the right hand side, giving us $1 + y/x = y + 1/x$.

soupless
  • 2,382