The following question is from the book: "150 Most Frequently Asked Questions on Quant Interviews" By Stefanica, Radoicic, and Wang.
Let $X$ and $Y$ be standard normal variables with joint normal distribution with correlation $\rho$.
Find the expectation
$$ \mathbb E [\text{sgn}(X )\text{sgn}(Y )]$$
where $\text{sgn}(·)$ is the sign function given by $\text{sgn}(x) = 1$, if $x > 0$, $\text{sgn}(x) = −1$, if $x < 0$, and $\text{sgn}(0) = 0$.
My Approach
Now, my first instinct was to write out the formula for the correlation in terms of expectations and see where to go from there. So for readability, using $X = \text{sgn}(X)$ and $Y = \text{sgn}(Y)$:
$$ \rho_{XY} = \dfrac{\text{Cov}(X,Y)}{\sigma_X \sigma_Y} = \dfrac{\mathbb E[XY] - \mathbb E[X]\mathbb E[Y]}{\sigma_X\sigma_Y} $$
from there, I was able to intuit that the means of $X$ and $Y$ are zero. Nothing really changes if you take the sign of a standard normal distribution instead of the value right? They're both symmetric around zero?
So I simplified the above fraction to:
$$ \rho_{XY} = \dfrac{\mathbb E[XY]}{\sigma_X\sigma_Y} $$
So next was to find the standard deviations, the formula for which is:
$$ \sigma_X = \sqrt{\frac{1}{n} \sum_i^n (x_i - \bar{X})^2} $$
And if we know $\bar{X} = 0$, then the variance's for both is 1?
Which leads me to the solution:
$$ \mathbb E[XY] = \rho_{XY}$$
Which when I checked the book's solution, is utterly wrong. There is a deterministic solution...
Why Am I Wrong?
This is really what I'm trying to reach. This is practice for interviews, so I don't care about knowing the answer, I want to learn how to tackle problems such as these.
Here's where I think I went wrong: the expectation is not zero? I think the correlation twists the expectation here. I think my answer only works when they are independent, which doesn't help... But I thought I did the math right? This is where I'm lost.
Sanity check for why I'm wrong:
If $\rho=-1$, then $\mathbb E[XY] = -1$
If $\rho=1$, then $\mathbb E[XY] = 1$
The solution confirms this...
The Book's Solution
The book has a three-page long derivation which simplifies to $\frac{\pi}{2}$ that I honestly don't understand.
It starts off with assuming $\rho=1$ or $\rho=-1$ and reaching the conclusion that $E \in [-1,1]$, which is what I have above. So at least I have that part correct...
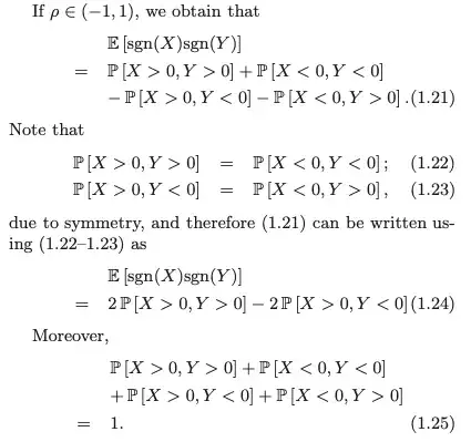
It then goes on to break down the expectation by the 2x2=4 possible combinations of values for $X,Y$, then uses the fact that all four spaces sum up to 1 to boil down the problem into a simple formula, dependent on $\mathbb{P}[X > 0, Y> 0]$ (1.27):
I don't think I would've done this, but OK. So far so good. It then assumes an identity/transformation that I've never seen before, with notation I've never seen before either (1.28):
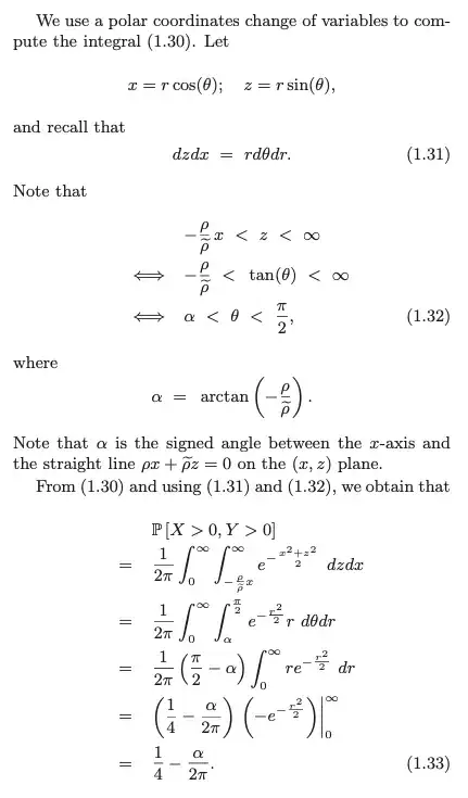
Which then uses polar coordinates and change of variables to solve the integral:
At which point, I'm completely lost. This seems like a hard problem right? Definitely not one I'd see in an interview.
My question is: is there a simpler way to understand how to tackle this problem? Seems like it's way too complicated. If not, is there a more visual way to understand this? I know that two standard normal RV's can be visualized in a 2D grid so that their distributions are symmetric around the origin. Not sure how that translates to when they're correlated or their sign version is
The last few equations seem to imply some level of circular intuition behind the solution.. so can anyone help provide some clarity? My problem really is once I saw the identity that I didn't know I completely lost track of the problem in my head, and don't think I could've recreated the solution after that...
Thanks





