Prove the following
$$\sum\limits_{n\geq 1}(-1)^{n+1}\frac{H_{\lfloor n/2\rfloor}}{n^3} = \frac{1}{2}\zeta(2)^2-\frac{7}{4}\zeta(3)\log(2)$$
I was able to prove the formula above and interested in what approach you would take .
Prove the following
$$\sum\limits_{n\geq 1}(-1)^{n+1}\frac{H_{\lfloor n/2\rfloor}}{n^3} = \frac{1}{2}\zeta(2)^2-\frac{7}{4}\zeta(3)\log(2)$$
I was able to prove the formula above and interested in what approach you would take .
The chalenge is interresting, but easy if we know some classical infinite sums with harmonic numbers : http://mathworld.wolfram.com/HarmonicNumber.html

( typing mistake corrected)
I was sure that the formula for $\sum\frac{H_{k}}{(2k+1)^3}$ was in all the mathematical handbooks among the list of sums of the same kind. I just realize that it is missing in the article of Wolfram referenced above. Sorry for that. Then, see : http://www.wolframalpha.com/input/?i=sum+HarmonicNumber%28n%29%2F%282n%2B1%29%5E3+from+n%3D1to+infinity
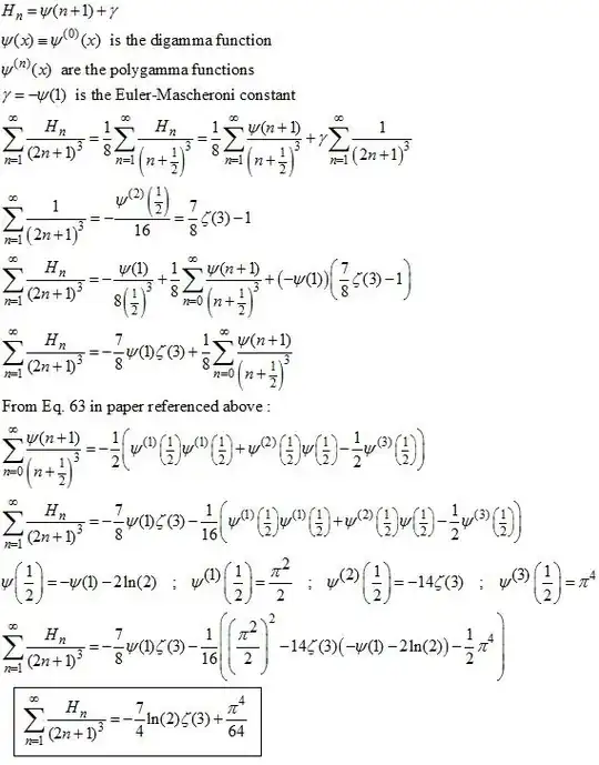
One can find in the literature some papers dealing with the sums of harmonic numbers and even more with the sums of polygamma functions. The harmonic numbers are directly related to some particular values of polygamma functions. So, when we are facing a problem of harmonic number, it is a good idea to transform it to a problem of polygamma. For example, in the paper “On Some Sums of Digamma and Polygamma Functions” by Michael Milgram, on can find what are the methods and a lot of formulas with the proofs : http://arxiv.org/ftp/math/papers/0406/0406338.pdf
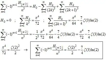
From this, one could derive a general formula for $\sum\limits_{n\geq 1}\frac{H_n}{(an+b)^p}$ with any $a, b$ and integer $p>2$. Less ambitious, the case $a=2 ; b=1 ; p=3$ is considered below :

Here is another variation of the theme: We start by splitting the sum
\begin{align*} \sum_{n\geq 1}(-1)^{n+1}\frac{H_{\lfloor n/2\rfloor}}{n^3}&=-\sum_{n\geq1}\frac{H_n}{(2n)^3}+\sum_{n\geq1}\frac{H_n}{(2n+1)^3}\\ &=-\frac{1}{8}\sum_{n\geq1}\frac{H_n}{n^3}+\sum_{n\geq1}\frac{H_n}{(2n+1)^3} \end{align*}
According to the answers of question 305476
the following identity is valid: \begin{align*} \sum_{n\geq1}\frac{H_n}{n^3}=\frac{1}{2}\zeta(2)^2=\frac{\pi^4}{72} \end{align*}
A very elegant answer was given by the user Random Variable. It was based on two ideas. The first one was using the integral representation
\begin{align*} H_n=\int_0^1\frac{1-t^n}{1-t}dt \end{align*}
for the harmonic numbers $H_n$ in order to simplify the sum. The second idea was using integration by parts and so switching from expressions with $\text{Li}_3$ to expressions with $\text{Li}_2$ reducing thereby the complexity of the integral.
Now, we use the same approach with some additional adaptations to show that
the following identity is valid: \begin{align*} \sum_{n\geq1}\frac{H_n}{(2n+1)^3}&=\frac{9}{16}\zeta(2)^2-\frac{7}{4}\zeta(3)\ln(2)\\ &=\frac{\pi^4}{64}-\frac{7}{4}\zeta(3)\ln(2) \end{align*}
We start by using the integral representation for $H_n$ from above and the substitution $u^2=t$:
\begin{align*} \sum_{n\geq1}\frac{H_n}{(2n+1)^3}&=\int_0^1\frac{1}{1-t}\sum_{n\geq1}\frac{1-t^n}{(2n+1)^3}dt\\ &=\int_0^1\frac{1}{1-u^2}\sum_{n\geq1}\frac{1-u^{2n}}{(2n+1)^3}2udu \end{align*}
Now observe, that \begin{align*} \sum_{n\geq1}\frac{1}{(2n+1)^3}&=\sum_{n\geq1}\frac{1}{n^3}-\sum_{n\geq1}\frac{1}{(2n)^3}-1 =\frac{7}{8}\zeta(3)-1\\ \sum_{n\geq1}\frac{u^{2n+1}}{(2n+1)^3}&=\sum_{n\geq1}\frac{u^n}{n^3}-\sum_{n\geq1}\frac{u^{2n}}{(2n)^3}-u=\text{Li}_3(u)-\frac{1}{8}\text{Li}_3(u^2)-u\\ \end{align*}
Therefore we get \begin{align*} \sum_{n\geq1}\frac{H_n}{(2n+1)^3}&=2\int_0^1\frac{1}{1-u^2}\left(\frac{7}{8}\zeta(3)u-\text{Li}_3(u)+\frac{1}{8}\text{Li}_3(u^2)\right)du \end{align*}
Next, we use partial integration with $U=\left(\frac{7}{8}\zeta(3)u-\text{Li}_3(u)+\frac{1}{8}\text{Li}_3(u^2)\right)$ and the following relations: \begin{align*} \frac{d}{du}\text{Li}_3(u)&=\frac{d}{du}\sum_{n\geq 1}\frac{u^n}{n^3}=\sum_{n\geq 1}\frac{u^{n-1}}{n^2}=\frac{1}{u}\text{Li}_2(u)\\ \frac{d}{du}\text{Li}_3(u^2)&=\frac{d}{du}\sum_{n\geq 1}\frac{u^{2n}}{n^3}=2\sum_{n\geq 1}\frac{u^{2n-1}}{n^2}=\frac{2}{u}\text{Li}_2(u^2)\\ \text{Li}_2(u)+\text{Li}_2(-u)&=2\left(\sum_{n\geq 1}\frac{u^n}{n^2}+\sum_{n\geq 1}\frac{(-u)^n}{n^2}\right)=\frac{1}{2}\text{Li}_2(u^2)\\ \frac{d}{du}\text{Li}_2(u)&=\frac{d}{du}\sum_{n\geq 1}\frac{u^n}{n^2}=\sum_{n\geq 1}\frac{u^{n-1}}{n}=\frac{1}{u}\ln(1-u)\\ \frac{d}{du}\text{Li}_2(-u)&=\frac{d}{du}\sum_{n\geq 1}\frac{(-u)^n}{n^2}=-\sum_{n\geq 1}\frac{(-u)^{n-1}}{n}=\frac{1}{u}\ln(1+u)\\ \end{align*}
So we get \begin{align*} \sum_{n\geq1}\frac{H_n}{(2n+1)^3} &=2\left.\left(\frac{7}{8}\zeta(3)u-\text{Li}_3(u)+\frac{1}{8}\text{Li}_3(u^2)\right)\frac{1}{2}\ln\frac{1+u}{1-u}\right|_0^1\\ &-\int_0^1\left(\frac{7}{8}\zeta(3)-\frac{1}{u}\text{Li}_2(u)+\frac{1}{4u}\text{Li}_2(u^2)\right)\ln\frac{1+u}{1-u}du\\ &=-\int_0^1\left(\frac{7}{8}\zeta(3)-\frac{1}{u}\text{Li}_2(u)+\frac{1}{4u}\text{Li}_2(u^2)\right)\ln\frac{1+u}{1-u}du\\ &=-\frac{7}{8}\zeta(3)\int_0^1ln\frac{1+u}{1-u}du+\frac{1}{2}\int_0^1\left(\text{Li}_2(u)-\text{Li}_2(-u)\right)\frac{1}{u}\ln\frac{1+u}{1-u}du\\ &=-\frac{7}{8}\zeta(3)\left.\left(\ln(1-u^2)+u\ln\frac{1+u}{1-u}\right)\right|_0^1+\frac{1}{4}\left.\left(\text{Li}_2(u)-\text{Li}_2(-u)\right)^2\right|_0^1\\ &=-\frac{7}{4}\zeta(3)\ln(2)+\frac{9}{16}\zeta(2)^2 \end{align*}
Now, putting all together gives
\begin{align*} \sum_{n\geq 1}(-1)^{n+1}\frac{H_{\lfloor n/2\rfloor}}{n^3} &=-\frac{1}{8}\sum_{k\geq1}\frac{H_n}{n^3}+\sum_{n\geq1}\frac{H_n}{(2n+1)^3}\\ &=\frac{1}{2}\zeta(2)^2-\frac{7}{4}\zeta(3)\ln(2) \end{align*}