Solve for reals: $$a^2+b^2-ab-b+\frac 13=0$$
My attempt.
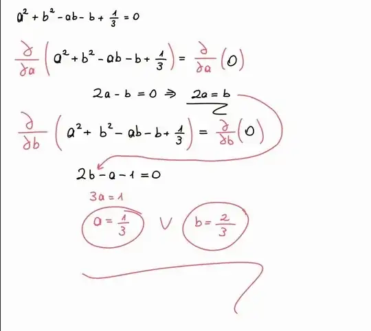
$$\frac {d}{da} \left(a^2+b^2-ab-b+\frac 13\right)=0$$
$$2a-b=0$$
$$\frac {d}{db} \left(a^2+b^2-ab-b+\frac 13\right)=0$$
$$2b-a-1=0$$
And I got $a=\frac 13, b=\frac 23$
If I define $$f(a,b)=a^2+b^2-ab-b+\frac 13$$
Then is it correct using partial derivatives to find $(a,b)$ ?
I am aware completing the square method. But, I want to know the errors of this method I use.
Here are a graph $z = x^2 - xy + y^2 - y$ in 3-D (vertical is distorted, not sure how to fix that, although carefully adjusting $x,y$ bounds might work)
Also a contour plot. Ellipses
Found out how to adjust the $x,y$ bounds, this version seems better


