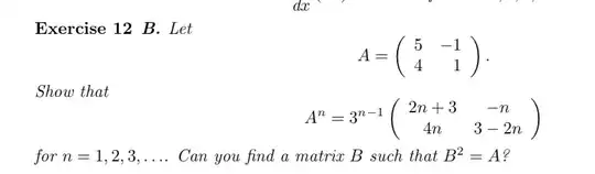
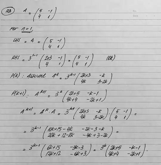
I am working on the following exercise from Prof. Richard Earl (Oxford).
I completed the first part, which was quite straightforward. However, I don't know how to move to the second one.
I believe the second portion of the exercise requires the reader to use the first portion somehow, however, I do not know in what way.
Any guidance is highly appreciated

