Why the second line can be done, please? Why is the exponential function of w in the integral $\mathrm{dt}$ only (not in $\mathrm{dw}$)?
Edit after the answer:
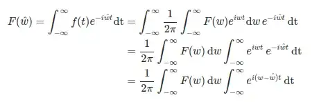
I am asking about the procedure in the second answer here. The last step should be
$$ \int_{-\infty}^{\infty} F(w) \delta (w-\hat w) {\rm d}w = \frac{1}{2\pi}\int_{-\infty}^\infty F(w) \left(\int_{-\infty}^\infty e^{i(w-\hat{w})t}\,\rm {d}t \right) \,{\rm {d}w}$$
After derivation of the equation, it is:
$$\frac{1}{2\pi}\int_{-\infty}^\infty e^{i(w-\hat{w})t}\,\rm {d}t= \delta (w- \hat w) $$
Is that correct?
What if there were sums instead of integrals, please? How to get
$$\frac{1}{2\pi}\sum_{t} e^{i(w-\hat{w})t}= \delta (w- \hat w) $$ ?
