I'm currently taking calculus bc. Our definition of differentiability at a point is that
- it is continuous at that point.
- the limit of the derivative function exists at that point.
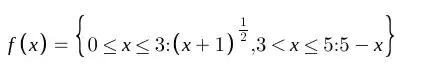
I don't see how a point can be continuous at an endpoint because the one sided limits don't agree (no right sided limit or left sided limit depending on the function). If we are given this piece wise function:
I'm not familliar with latex so sorry for the image.
When we are evaluating f'(x) and writing that as a piece wise function. Should I make the domain 0 < x < 3 or 0 <= x < 3? When graphing it on desmos it does the latter but I don't see how that doesn't break our definition of continuity.
