4

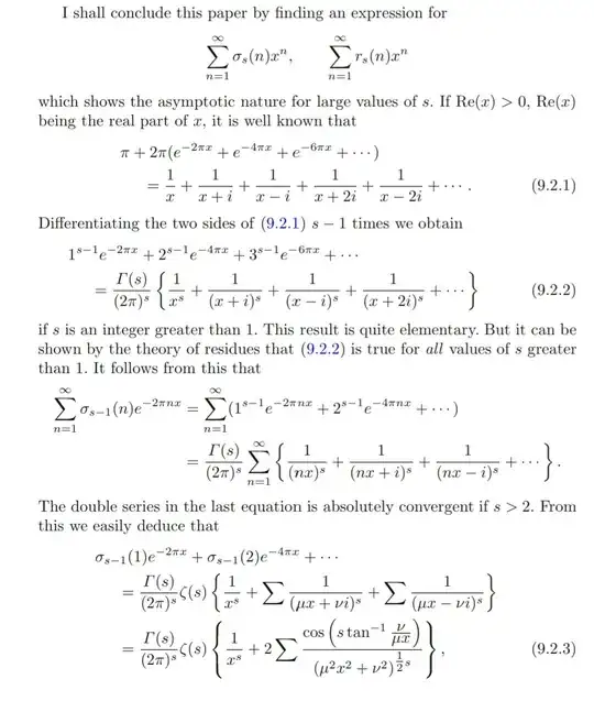
The following is a picture of equation from Ramanujan's lost notebook. In this page, Ramanujan gives a closed form for, $$\sum_{n\geq 1}\sigma_{s}(n)x^{n}$$


From Ramanujan's lost notebook


In an attempt initially it's claimed that,

$$\pi+2\pi\sum_{n\geq 1}e^{-2n\pi x}=\frac{1}{x}+\frac{1}{x+i}+\frac{1}{x-i}+\frac{1}{x+2i}+\frac{1}{x-2i}+ \cdots$$

  1. I am not sure how to prove this. Moreover After EQ.$(9.2.2)$, he also claims the following fact, $$\sum_{n\geq 1}\sigma_{s-1}(n)e^{-2\pi nx}=\sum_{n\geq 1}\left(1^{s-1}e^{-2\pi nx}+2^{s-1}e^{-4\pi nx}+\cdots\right)$$

  2. I am also unaware how to prove this?

All of my attempts were flawed and were not bearing something new, but rather bringing me where I started from. (Hence I am not mentioning them here).

RAHUL
  • 1,600
  • The "initially" section the left side can certainly be written in a closed form. – Thomas Andrews Aug 07 '22 at 02:28
  • 1
    Exactly where in Ramanujan's lost notebook? He does not use that kind of equation numbering. Also he does not use theory of residues. He would not use "well known" in text. The lost notebook has almost no text, just equations. – Somos Aug 07 '22 at 02:56
  • 1
    @Somos The reference is to a book, not the actual notebook (see page 214 at http://www.fuchs-braun.com/media/78bb2c662df08bdfffff8024fffffff1.pdf). – Steven Clark Aug 07 '22 at 03:39
  • @Somos, From original text in Ramanujan's lost notebook, Bruce berndt and George Andrews wrote a book on it. It's the part 4 of it. I can mail it to you if you want – RAHUL Aug 07 '22 at 04:58
  • 1
    @Rahul The context is important. I know Berndt+Andrews volumes. They are in the University Library. Please include page number and volume in the body of your question. From the excerpt you display it is not clear what is written by Ramanujan and what by Berndt and Andrews. – Somos Aug 07 '22 at 10:48
  • How Ramanujan did this, he only knows but we can guess it.our guess may be correct. – Guruprasad Nov 16 '24 at 20:28

2 Answers2

8

This just answers the first part of the question. $$ \frac{1}{x}+\frac{1}{x+i}+\frac{1}{x-i}+\frac{1}{x+2i}+\frac{1}{x-2i}+ ...=\frac{1}{x}+2\sum_{n=1}^\infty {x\over x^2+n^2} \\ =\pi\coth\pi x, $$ using this, which shows that $$ \begin{align} \sum_{n=1}^\infty \frac{y}{y^2+n^2} &= - \frac{1}{2} \frac{1}{y} + \frac{1}{2} \pi\coth(\pi y)\\ \end{align} $$ using complex analysis, $$ \\ =\pi {1+e^{-2\pi x}\over 1-e^{-2\pi x}}\\ =\pi {1-e^{-2\pi x} + 2 e^{-2\pi x}\over 1-e^{-2\pi x}} \\ =\pi + 2\pi\sum_{n=1}^\infty e^{-2n\pi x}, $$ using the geometric expansion $\sum_{i=1}^\infty r^n={r\over 1-r}$ backwards.

Suzu Hirose
  • 11,949
1

For 2. you need to apply the residue theorem to $$\int_C \frac{t^{-s}}{e^{t+2\pi x}-1}dt = (e^{-2\pi s}-1) \int_0^\infty \frac{t^{-s}}{e^{t+2\pi x}-1}dt$$ $$ = (e^{-2\pi s}-1) \sum_{n\ge 1} \int_0^\infty t^{-s} e^{-nt-2\pi n x} dt = (e^{- 2\pi s}-1) \sum_{n\ge 1}\Gamma(1-s)e^{-2\pi n x} n^{s-1} $$ Where $C$ is a contour enclosing $[0,\infty)$ positively.

Then use the reflection formula for $\Gamma$.

reuns
  • 79,880