Solve in integers the diophantine equations $d^4 \pm 1 = 2e^2, e = (pc^2 - 3d^2)/4.$ Assume $p$ is prime.
Clearly $d$ must be odd, and so $d^4 \equiv 0,1\mod 8$.
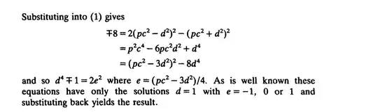
I'm pretty sure the solution is $d = 1, e =\pm 1, 0, (p,c) = (7, \pm 1), (3, \pm 1)$, but I'm not sure how to show this. I know that in the $-1$ case, $(d^2 - 1)(d^2 + 1)=2e^2$, so $d^2 - 1, d^2 + 1 = u^2, 2v^2$ for some coprime integers $u,v$ such that $e = uv$. Assume $d > 1$. So in particular, since $d^2 - 1$ and $d^2 + 1$ have the same parity, $u$ must be even. So write $u = 2k, v = 2a + 1$. Then $u^2 = 4k^2, 2v^2 = 2(4a^2 + 4a + 1)$. If $u^2 = 2v^2 + 2$, then $4k^2 = 4(2a^2 + 2a + 1)\Rightarrow k^2 = 2a^2 + 2a + 1$. So $k = 2a_2 + 1$ is odd. $(2a_2 + 1)^2 = 2a^2+2a+1\Rightarrow 2a_2(a_2 + 1) =a(a+1).$ The function $x\mapsto x^2 + x$ is clearly strictly increasing. But I'm not sure how to proceed from here.
Clarification: the question was directly taken from the following:

