3

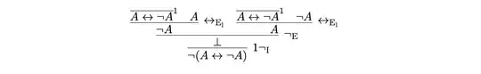
I want to prove $\neg (A \leftrightarrow \neg A ) $ in natural deduction: I tried first enter image description here

But I can't figure how to discharge the hypothesis $A$ and $\neg A$. I then tried

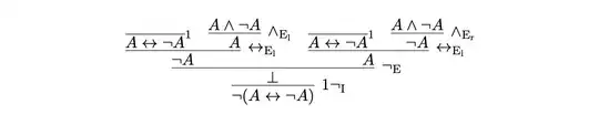
enter image description here

Here I just need to discharge $A \wedge \neg A$, but I can't either figure how to do it.

Edit

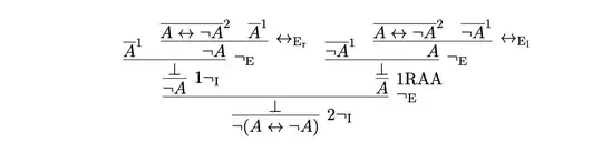
Following the help in the answers and comments I came out with

enter image description here

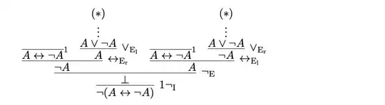
Where $\begin{array}{c} (*) \\ \vdots \\ A \vee \neg A \end{array}$ is a natural deductive proof on its own (needing RAA) of $A \vee \neg A$.

Second method

Without a proof of $A \vee \neg A$:

enter image description here

Netchaiev
  • 4,841

2 Answers2

2

My suggestion is to start first with an informal and intuitive proof, and try then to formalize it in natural deduction.

Proving that $\lnot(A \leftrightarrow \lnot A)$ amounts to show that from $A \leftrightarrow \lnot A$ a contradiction follows. So, let us suppose $A \leftrightarrow \lnot A$ and try to derive a contradiction from it. We know that either $A$ or $\lnot A$ holds. If we assume $A$ then we get $\lnot A$ (from the hypothesis $A \leftrightarrow \lnot A$), and so we have both $A$ and $\lnot A$, absurd. Similarly, if we assume $\lnot A$ then we get $A$ (from the hypothesis $A \leftrightarrow \lnot A$), which again leads us to the same contradiction. Therefore, it does not matter which one of the two ($A$ or $\lnot A$) holds, we always derive a contradiction from the hypothesis $A \leftrightarrow \lnot A$.

In natural deduction, the argument above can be formalized as follows ($\circ$ and $*$ mark where some assumptions have been discharged),

\begin{align} \small \dfrac { \dfrac {{\displaystyle{\vdots}\atop\displaystyle{A\lor \lnot A}} \ \ \dfrac {\dfrac{[A \leftrightarrow \lnot A]^* \ \ [A]^\circ}{\lnot A}\lnot_\text{e} \ \ {\displaystyle{}\atop\displaystyle{[A]^\circ}}}{\bot} \leftrightarrow_\text{e} \ \ \dfrac {\dfrac{[A \leftrightarrow \lnot A]^* \ \ [\lnot A]^\circ}{\lnot A}\lnot_\text{e} \ \ {\displaystyle{}\atop\displaystyle{[\lnot A]^\circ}}}{\bot} \leftrightarrow_\text{e}} {\bot}\lor_\text{e}^\circ } {\lnot(A \leftrightarrow \lnot A)} \lnot_\text{i}^* \end{align}

where ${\displaystyle{\vdots}\atop\displaystyle{A\lor \lnot A}}$ stands for a derivation of $A \lor \lnot A$ without any assumption. It is a good exercise to write such a derivation (hint: use RAA). If you get stuck, you can have a look here.


Is it necessary to use the derivation of $A \lor \lnot A$ to prove $\lnot (A \leftrightarrow \lnot A)$? Actually no. Here you can find a it (pay attention that it uses a slightly different version of the rule $\lnot_\text{e}$, but you can easily adapt it to your version of $\lnot_\text{e}$). It is closer to your initial attempts, but it does not seem very intuitive. It requires a bit of acquaintance with natural deduction.

  • Thank you for the detailed answer: I adapted mine, but using the disjunction elimination is indeed more elegant :) I also adapted the one without the proof of $A \vee \neg A$, I hope it is not too convoluted. (Please see the Edit part of my post) – Netchaiev Apr 27 '22 at 14:42
  • @Netchaiev - Your second method is correct. But your first method in your edit is wrong, because it uses the rule $\lor_e$ in an incorrect way. Have a look here to see the proper use and meaning of the $\lor_e$, especially in the section "Reasoning by Cases". – Taroccoesbrocco May 01 '22 at 09:34
1

Once you have shown that $A$ leads to a contradiction, then presumably you can infer $\neg A$ using $\neg$ Intro, and that will discharge $A$. That then also means that you don't have to assume $\neg A$ ... you can just continue working with that $\neg A$. So, not having assumed $\neg A$ in the first place, there is no $\neg A$ to discharge.

Bram28
  • 103,721