$\color{brown}{\textbf{Infinity points.}}$
Easily to check that the functions
$$f_n(x)=\,\underbrace {f(f(f(\dots(f(x)))))}_n,\quad\text{where}\quad
f(x)=x-\frac1x=2\sinh \ln x,\quad f_0(x)=x,\tag1$$
map $\;\mathbb Q\mapsto \mathbb Q.\;$
On the other hand, there are exactly two functions
$$g_\pm(x)= \dfrac{x\pm\sqrt{4+x^2}}2=\dfrac2{x\mp\sqrt{4+x^2}},\quad\text{such as}\quad f(g_\pm(x))=x,\quad\text{wherein}$$
$$ g_\pm(+\infty)=\dbinom{-0}{+\infty},\quad g_\pm(-\infty)=\dbinom{+0}{-\infty},\quad g_\pm(\pm0)=\dbinom{1}{-1},\quad g_\pm(\pm1)=\frac{\pm\sqrt5\pm1}2.$$
If $\;a_n=\pm\infty,\;$ then
$$a_{n-2}\in \left(\pm\infty \bigcup \frac{\pm\sqrt5\pm1}2\right),\quad a_{n-k}=\frac{\pm\sqrt5\pm1}2\not\in\mathbb Q.$$
Therefore, $\;\forall (N)\, \forall (n\le N)\; a_n\not=\pm\infty.\;$
I.e. the given sequence does not contain infinity as a value.
$\color{brown}{\textbf{Periodic sequences.}}$
Let us define periodic sequences via the equation $\;f_T(\tilde x)=\tilde x,\;$ where $\,\tilde x\,$ is a base and $\,T\,$ i a period.
For example,
$\;\dbinom {\tilde x}T=\dbinom {\sqrt2^{\,-1}}2.\;$
Rewriting the equation in the form of $\;f_{k-1}(x)=g_\pm(x)\;$
and taking in account, that $\;g_\pm(3)=\dfrac{3\pm\sqrt{13}}2\not\in\mathbb Q,\;$ easily to prove that the given sequence is not periodic.
At the same time,
$$f'(x)=1+\dfrac1{x^2},\quad f'_k(x)=\prod\limits_{j=1}^{k-1} f'(f_j(x))
=\prod\limits_{j=1}^k\left(1+\dfrac1{f^2_{k-1}(x)}\right)>f'_{k-1}>1,\quad (k\in\mathbb N),$$
so should be a pole between the neighbor bases with the given period.
![Plot f[k], k=1, 2, 3](../../images/5f7a15a255f9a29b676fc6e3e74df602.webp)
Therefore, $\,f_k(x)\,$ has negative infinity gaps in the poles and increasing pieces with $\,f'_k(x)>1\,$ between the poles.
If to consider the equation $\;x_{n+1}=f_k(x_n)\;$ as the simple iteration, then there are not such neighborhood of $\,x=3\,$ which can be compressed via the iteration. I.e. sufficient condition of the simple iteration convergency is not satisfied in the neighborhoods of $\;x=3.$
$\color{brown}{\textbf{Heuristic model of the process.}}$
Let us consider the model with a pair of repeated steps:
- Decreasing of $\;x=|a_n|\;$ from $\;M_k>1\;$ to $\;m_k<1,\;$ with the homogenius distribution law.
- The gap of $\,x\,$ from $\,m_k\,$ to $\;M_{k+1}=\dfrac1{m_k}-m_k.\;$
Modeling the first step via the ODE
$$\dfrac{\text dx}{\text dt}=-\dfrac1x,\quad x(0)=M_k,\tag2$$
one can get $\;x=\sqrt{M^2_k-2t},\quad t_k =\dfrac12(M_k^2-1)\;\text{iterations},\;$ and with 2 additonal iterations per step we have $$N_s(M)=\dfrac12(M^2+3).\tag3$$
The average quantity of iterations in the step with $\;M_k<M,\;m_k>|g_-(M)|=\frac1{g_+(M)}\;$ equals to
$$\bar N_s=\dfrac {g_+(M)}{2(g_+(M)+1)}\int\limits_{\frac1{g_+(M)}}^1 \left(\left(\dfrac1m-m\right)^2+3\right)\,\text dm
=\dfrac {g_+(M)}{2(g_+(M)+1)}\left(-\dfrac1m+m+\dfrac13m^3\right)\bigg|_{\frac1{g_+(M)}}^1$$
$$ =\dfrac {g_+(M)\,m}{6(g_+(M)+1)}\left(-\dfrac4{m^2}+1+\left(\dfrac1m-m\right)^2\right)\bigg|_{\frac1{g_+(M)}}^1
=\dfrac {4g^2_+(M)-3g_+(M)-1-M^2}{6(g_+(M)+1)},$$
$$\bar N_s(M) =\dfrac{2M^2-3M+6+(4M-3)\sqrt{4+M^2}}{12(g_+(M)+1)}. \tag4$$
Assuming the average quantity of the required steps before $M_k>M$ to $\;g_+(M)+1\;$ gives
$$\bar N_\Sigma(M)\approx\dfrac{2M^2-3M+6+(4M-3)\sqrt{4+M^2}}{12}\tag5$$
iterations totally.

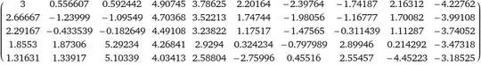
$\color{brown}{\mathbf{Tables\;a_{0\dots49},\;a_{50\dots99},\;a_{100\dots149},\;a_{150\dots189}.}}$

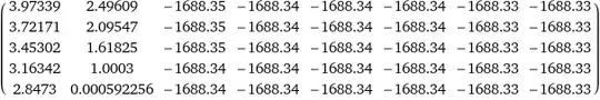
![Table a[50-99]](../../images/8f9fcbdbcc7745684c975db173dfde61.webp)
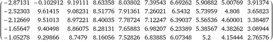
![Table a[100-149]](../../images/07d13f0150781e7a4f0aff1ac7f3af45.webp)
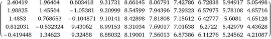
![Table a[150-189]](../../images/84f27d761944188e59075a94ccfa6996.webp)
$\color{brown}{\textbf{Conclusions.}}$
There are the reasons for the next hypotheses:
- the given sequence is unbounded.
- the average quantity of iterations before $|a_{N+1}|>M$ is defined by the expression $(5)$.
Also, it was shown the Boole map is ergodic with respect to the Lebesgue measure. Do you care about the behavior of the iterates for a "typical" initial value of $a_0$?
– mathworker21 Nov 28 '21 at 02:39Let $a_k$ have the same sign for $n\leq k\leq m$. If $|a_k|-\varphi>0$ for $n\leq k\leq m-1$ then $|a_{k+1}|-\varphi<|a_k|-\varphi$. If $|a_m|-\varphi<0$ then $a_{m+2}$ has an opposite sign.
So there are infinitely many $a_n$ that are in the abs. v. close to $\varphi$. We have to show whether they are close enough.
– Pavel R. Dec 04 '21 at 23:02