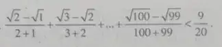
I found the original question asked by someone else, asking for this to be proven using only '9th grade math', this is the image:
Which can be written like
$$\sum_{n=1}^{99}\frac{\sqrt{n+1}-\sqrt{n}}{2n+1}\lt\frac9{20}$$ Rationalizing it, I got
$$\sum_{n=1}^{99}\frac{1}{(2n+1)(\sqrt{n+1}+\sqrt{n})}<\frac9{20}$$
This is where I'm stuck. My plan was to somehow turn this into a telescoping sum, but I had no luck with that because of how messy the denominator can get in partial sums. I've tried to see if it followed the pattern of a GM series but the resulting ratio had radicals in. I generally don't know how to do sums of radicals. So how can I prove this inequality, preferably without using induction or manually evaluating each term using a calculator (because of the 9th grade math condition)? Any help is appreciated.
