0

I am reading perspective projection from computer Graphics Hearn Baker book. But two concepts are not understanding. enter image description here

Special cases 3 and 4 not understanding.

Case:3 when $z_{vp}=0$ then projection reference point exists in view plane. So how can I get projection? But some website saying the reference point where all the projectors (projection lines) converge has to have a non-zero coordinate (because you don't get an image if the reference point is in the viewing plane itself). I don't understanding how?

Case:4 It maybe understandable after getting knowledge of case 3.

S. M.
  • 1
  • "when $z_{vp}=0$ then projection reference point exists in view plane." That is not what the book says. The projection reference point is at $z_{prp},$ not $z_{vp}.$ I think we are supposed to remember that the projection reference point must not be in the view plane, so the book does not spend precious ink explaining over and over that the projection reference point is not in the view plane in this example, or in that example, or in that example either. – David K Oct 27 '21 at 01:19
  • @David One thing tell when I see image, video, movie on screen by parallel projection? And when I see any 3D movie it's example of perspective projection? Am I correct? – S. M. Oct 27 '21 at 01:26
  • @David could you insert your comments in answer, I will accept your answer.. – S. M. Oct 27 '21 at 01:34

1 Answers1

1

when $z_{vp}=0$ then projection reference point exists in view plane.

That is not what the book says. The projection reference point is at $z_{prp}$, not $z_{vp}$. I think we are supposed to remember that the projection reference point must not be in the view plane, and therefore when Case 3 says $z_{vp}=0$ we will conclude that of course $z_{prp} \neq 0$ in that case.

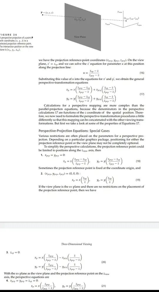
I think Figure 34 is supposed to illustrate the general case of the perspective projection as well as all the special cases, but to be honest it is difficult to use one single figure for all cases. Unless the book has additional figures after this excerpt, it seems we are supposed to understand from the figure that although the viewing plane is parallel to the $x_{view}$ and $y_{view}$ axes, as shown in the figure, it might (in the general case or in a special case) be at any distance in front of, behind, or exactly on those axes, not just where it is shown. I think Figure 34 is also meant to say that the projection reference point (in the general case or in a special case) might be anywhere at all -- on an axis, in one of the coordinate planes, not on any axis or coordinate plane, or exactly at the origin, not just in the place somewhere off-axis where it is shown in the figure. So almost all the actual relative placements of objects in the figure might not be how the objects are actually placed. But one relative placement in the figure that must be like the way it is shown in the figure is that the projection reference point is somewhere away from the view plane. So wherever we put the view plane, we must put the projection reference point somewhere else (at a different $z$ value).


With regard to the comment about images, movies, etc.:

Most images that come from actual cameras (photographs, movies, or videos) show you images in perspective projection because that's how the camera works. There are some tricks like fish-eye lenses and other lenses that deliberately distort an image, but those are effects beyond what you can do with either perspective or parallel projection. No camera that I know of is capable of parallel projection.

For professional-grade (or even good amateur-level) computer-generated images, movies, and videos that are meant to give the impression of being filmed by a camera, again things will typically be pictured in perspective projection because that's the "realistic" projection. A parallel projection will not look as natural.

There are some exceptions. When something is small enough or far enough from us, the rays of light that come from it to our eyes (or to a camera) are at angles that are so nearly the same that you would not be able to tell the difference between the perspective projection of that object and a parallel projection. So someone might allow the software to use parallel projections for some objects in a scene that are supposed to appear small or distant -- but probably a different parallel projection for each of those objects, because the scene as a whole must look like it's in perspective projection.

A small image on a web page could be in parallel projection for the same reason as the small object -- it doesn't look as "real" as perspective projection, but if the image is only taking up a small area on the web page and you don't blow it up so it occupies a large part of your field of view (like the whole picture on a wide-screen TV), you will not notice the difference.

Another exception is in technical drawing. Many drawings for engineering, some architectural drawings, and drawings used in various kinds of manufacturing and trades use parallel projection because these drawings are meant to give exact specifications for making things rather than to look as "real" as possible.

David K
  • 108,155