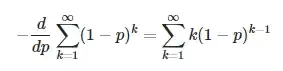
I found this equality as a part of this proof and I am wondering how to get it using the chain rule as suggested by the author of the linked answer. I haven't touched calculus in a fair bit and thus I am rusty.
Chain rule:$\frac{dy}{dx}=\frac{dy}{du}\frac{du}{dx}$
