3

While looking at this post (The second answer), I find that it is to tedious to calculate the Residue of

$$ f(z)=-\left(\frac{z-1}{z+1}\right)^2\frac{2n/z}{z^{2n}-1} $$ at $-1$. I do know that we can do this: $$\operatorname*{Res}_{z=-1}f(z)=\frac{1}{2!}\frac{d^2}{dz^2}(f(z)\cdot(z+1)^3).$$ But I am not satisfied with this method. I have the following questions:

1. How many methods do we have to calculate this, can you provide me with an ingenious one?

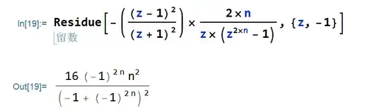
2. I tried to calculate this via Mathematica like this:[enter image description here]

If I let $n$ take concrete integers, say, $n=5$, we do get the right answer $-34$. However, it seems that we cann't get the right answer if we let $n$ be a variable. What's wrong here, how can we use mathematica to get a general answer (instead of concrete examples by letting n be some integers). I faced with this sort of problems in similar situations. Can you tell me what shoud I do, or just let me know that mathematica cannot do this! Thank you !

Addition As for Sangchul Lee's answer for my second question, I have another quesion. Why does the following code does not work, what's the difference between "Element[n, Integers]" and "Assumptions -> n \in Integers":enter image description here

王李远
  • 872
  • As to 1. I think that writing $\zeta:=z+1$ and then calculating the coefficient of $\zeta^{-1}$ by expanding everything in sight by the Binomial Theorem is not too difficult/ [A quick look suggests that you can ignore at all stages $\zeta^3$ and higher terms.] But it's perhaps just another tedious calculation. – ancient mathematician Sep 02 '21 at 09:36
  • Thanks for your comment! – 王李远 Sep 03 '21 at 02:00

1 Answers1

2

1. Note that we have

\begin{align*} -\left(\frac{z-1}{z+1}\right)^2\frac{1}{z(z^2-1)} &= -\frac{z-1}{(z+1)^3 z} \\ &= -\frac{2}{(z+1)^3} - \frac{1}{(z+1)^2} - \frac{1}{z+1} + \frac{1}{z}. \end{align*}

Also, if we write $g(z) = \frac{z^{2n}-1}{z^2-1} = 1 + z^2 + z^4 + \cdots + z^{2(n-1)}$, then the Taylor series for $\frac{1}{g(z)}$ about $z = -1$ begins with

\begin{align*} \frac{1}{g(z)} &= \frac{1}{g(-1)} - \frac{g'(-1)}{g(-1)^2}(z+1) + \left(\frac{2g'(-1)^2}{g(-1)^3} - \frac{g''(-1)}{g(-1)^2} \right)\frac{(z+1)^2}{2} + \cdots \\ &= \frac{1}{n} + \frac{n-1}{n} (z+1) + \frac{(n-1)(2n-1)}{6n}(z+1)^2 + \cdots. \end{align*}

Altogether, the residue of $f(z)$ at $z=-1$ can be computed by reading out the coefficient of $(z+1)^{-1}$ in the Laurent expansion of

$$ f(z) = -\left(\frac{z-1}{z+1}\right)^2\frac{1}{z(z^2-1)} \cdot \frac{2n}{g(z)}, $$

about $z=-1$, which is

\begin{align*} \mathop{\underset{z=-1}{\mathrm{Res}}}f(z) &= (2n) \biggl[ (-2)\left(\frac{(n-1)(2n-1)}{6n}\right) + (-1)\left(\frac{n-1}{n}\right) + (-1)\left(\frac{1}{n}\right) \biggr] \\ &= -\frac{2}{3}(2n^2+1). \end{align*}

2. To compute this residue using Mathematica, you may do as follow:

mathematica code

Sangchul Lee
  • 181,930
  • I have another question concerning the second question. why this code fails:Residue[-((z - 1)^2/(z + 1)^2)(2n)/(z(z^(2n) - 1)), {z, -1}, Element[n, Integers]]. (you can see the result at the end of my post) What's difference between this with yours? – 王李远 Sep 03 '21 at 01:58
  • The last bit of Residue need to include Assumptions-> . Otherwise it's just an element not an assumption. @王李远 – Semiclassical Sep 03 '21 at 03:38
  • why does it fail with Residue zero {z, 0} it should produce -2n according to the op link. And why is it -2n anyway? – onepound Oct 09 '23 at 18:29