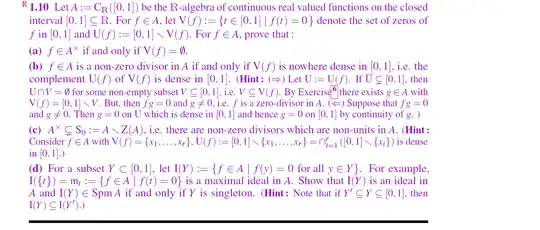
This question is from an assignment I am trying to solve and I was unable to solve this particular question. So , I am posting it here along with the attempt made by me:
$A^{\times}$ is set of all units and A* is set of all non zero divisors and Z(A) = A/A*.
6 means here Prove that For every closed subset Z $\subseteq \mathbb{R}$, there exists a continuous function f:$\mathbb{R} \to \mathbb{R}$ such that Z = Z( f ) = {$t \in \mathbb{ R} :f (t) = 0$}. (Hint : Consider the distance function t $\to$ d(t;Z)).
(a) done.
(b) Let $f \in A$ is a non-zero divisor=> f $\neq 0$ on [0,1] and there exits a function g $\in C[0,1]$ such that fg=0 . To prove that V(f) is nowhere dense in [0,1]. Let on the other hand, V(f) is not nowhere dense in [0,1],but I am unable to see how can I get a contradiction.
Conversaly , let V(f) be nowhere dense, and there exists function f, g $\in C[0,1]$such that fg=0 and g is non-zero on [0,1] , to prove f is a non-zero divisor.
If I try using the hint for converse: why in last line of (b) author could write " Then g is 0 in U"? If I let it be true then it is cleat that g=0 on [0,1] which implies that f is a non -zero divisor.
If I use the hint for original statement, then I am unable to understand How there exists g $\in A$ with V(f) =[0,1] \ V ? Actually I am unable to prove the 6 statement.Also ,assuming both of them to be true . Now the next statement is that fg=0 and g non-zero. ( I think that there is a typo in the before 2 statements than the previous statements because in them there is no mention of V(g) . So, can you please help me with the right statement . I am unable to do that because I am unable to prove 6 and hence not able to use it in the proof. 6 is written right . I rechecked it.
(c) done.
(d) I have shown that I(Y) is an ideal in A but if I(Y) $\in $ Spm (A) then I(Y) is maximal, let it be not singleton then how does it contradicts being maximal? Can you please help?
Conversaly let Y be singleton ={y}. Let It be not maximal then there exists a set I(X) such that $I(Y) \subseteq$, then what is the contradiction here? How can there be less functions in I(X)?
Can you please help.

For your question on why $g = 0$ on $[0, 1]$, the reason is that $g$ is identically zero on a dense set, and $g$ is continuous (every point not in $U$ is a limit point, and every limit of points in $U$ is identically 0, now use continuity).
– Rushy Sep 22 '21 at 04:58