I'm pretty sure this is a relatively straightforward and simple thing, but here we are.
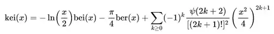
I'm trying to write out (and use) the equation for the imaginary portion (kei(x)) of a zeroth order Kelvin function in order to plot out a graph similar to this, provided by Wikipedia. Wikipedia provides this equation as follows: 
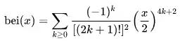
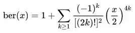
It looks like to use this equation I simply need three things:
- An arbitrary value for the upper limit of the summation series
- The real part of the Bessel function bei(x)
- The imaginary part of the Bessel function ber(x)
This makes it seem like all I really need to do is to stuff the equations for (2) and (3) into the kei(x) equation. Wikipedia has again kindly provided these two equations:
and

However, my attempts to code this (in MATLAB, though it shouldn't matter) has not yielded anything remotely close to the graph in question. I checked for different values of the upper limit of k.
Just wanted to check if my work process seems correct here. If it is, this just means my code in MATLAB is wrong and I can focus my efforts in finding it there. My code in question is here, if anyone is interested. Notably my graph of x vs kei(x) yields different results when I take a different upper limit of k.
Thanks everyone.