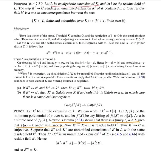
This question talks about the correspondence between finite unramified extensions of $K$, a complete field with a discrete, nonarchimedean absolute value, that are contained in an algebraic extension $L$ of $K$ and finite subextensions of the tower of residue fields $k \subset l$.
So Milne starts by considering a finite subextension $k' \supset k$ of the residue field of $k$ and writes it as $k[a]$ for some $a$. Now he uses Newton's Lemma (which was proved along with Hensel's Lemma) to argue that there should be an $\alpha \in L$ such that $f(\alpha)=0$ and $\alpha \equiv a \mod \mathfrak{p}$.
My issue is this: why should such an $\alpha$ exist in L? Since L is an arbitrary algebraic extension (not necessarily finite), it doesn't have to be complete under the extension of the absolute value and so I'm not sure why Newton's Lemma applies. Also, since L is not necessarily algebraically closed, why should the extension $K[x]/(f)$ embed into L (where f is a lift of the minimal polynomial of the primitive generator k')?
Am I missing something obvious or is there a mistake here?
You can look at the proposition and its proof in page 127 in Milne's notes.
EDIT:
I also took a look at these notes from 18.785 (page 1-2) where they consider $K[X]/(f)$ but they say that by construction it is true that the valuation ring of this is $A[\alpha]$. I don't see why this should be so. Could someone help with this as well?
