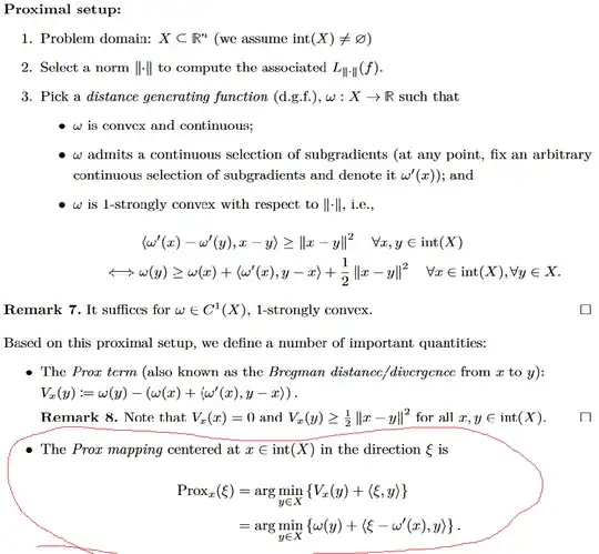
I am really confused about the proximal operator. My teacher has lectured and posted notes where she defines the proximal operator like this:
I am trying to get some intuition for this weird function. What is the variable $\xi$ supposed to represent? I know there is some notion where this is supposed to generalize projection?
So naturally I try to look up some other resources. But when I look up the proximal mapping on the internet people have a different definition. For example here:
What is the motivation for the proximal operator?
Are these definitions somehow the same? Can someone help me out of this mess?
