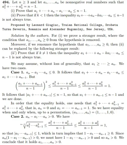
If $a,b,c,d$ are non negatives and $a^2+b^2+c^2+d^2=3$ prove that $$abcd+3\ge a+b+c+d$$
The inequality is not as simple as it looks.The interesting part is that the equality occurs when $a=0,b=c=d=1$ upto permutation .(I don't know if there are further equality cases.)
I tried rewriting the inequality as $$a^2+a(bcd-1)+b^2+c^2+d^2-b-c-d\ge 0$$ As its a quadratic in $a$ it suffices to show the discriminant$$\Delta_a={(bcd-1)}^2-4(b^2+c^2+d^2-b-c-d)\le 0$$ which unfortunately is wrong (when $a=\sqrt{3},b=c=d=0$)
P.S ;I am not aware of using Lagranges multipliers
Its from here
Update :An answer has been posted in the link above (AOPS) similar to Dr Mathva's answer





