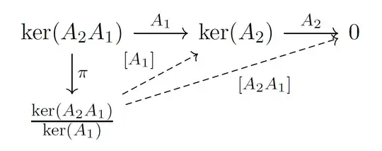
Let $V$ be a vector space that is not necessarly finite dimensional. Consider two surjective linear operators $A_1,A_2\in L(V,V)$ with finite-dimensional kernel: $A_i(V)=V$ and $\dim\ker A_i=n_i\in\mathbf{N}$. Can it be proven that $\dim\ker (A_2A_1)=n_1+n_2$?
In words: Is the dimension of the kernel of the composition of surjective linear operators with finite dimensional kernels the sum of the dimensions of the kernels?
Looking at this formula, one might think that the formula $\dim\ker A_2A_1=n_1+_2$ is valid, but I have looked at the answers and they are based on the rank nullity theorem, which I can't use, since $V$ is not finite dimensional.
Motivation: I want to prove that the solution space of homogeneous linear differential equations of order $n$ is $n$-dimensional by writing the $n$-th order differential operator as composition of first-order differential order with one-dimensional kernel. Actually, the answer to this question completes my proof.
