I am a high school student that is doing Newton’s law of cooling for his school report. I passed by a website that is finding the general formula [T(t)] with an approximation of the environmental temperature. Everything was mostly understandable but at one point, the person used Mathcad to solve the integrals. I am therefore interested on how this mathematical process can be carried out analytically so please if you have any idea of how to solve it analytically let me know.
Website: http://calculus7.com/sitebuildercontent/sitebuilderfiles/nwtnslawcling1.pdf
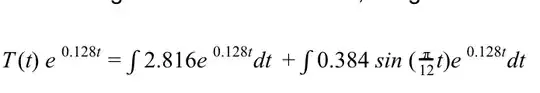
Equation I have(assuming k = 0.128):
The way I would like it to be:
note: the graph I trying to get is for cooling and the website is using heating instead of cooling. Note 2: on my equation, T(t) is supposed to be the same thing as y(t) in the equation from the website.
