I'm trying to read Rolfsen's "Knots and Links" and I'm a little discouraged that I can't do one of the first and seemingly more important exercises. The question is
Use the Schoenflies theorem (every topological imbedding $S^1 \rightarrow \mathbb{R}^2$ is the boundary of a 2-disk) to prove the annulus theorem: Given two disjoint imbeddings of $S^1$ in $\mathbb{R}^2$, where one is "inside" the other (I.e. one is in the bounded component of the complement of the other), then the space "between" the two curves is homemorphic to $S^1 \times [0,1]$.
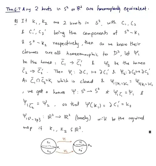
There is a hint that says "connect the two curves with arcs". Unfortunately I can't say much about "what I've tried." At this point in the book, we know only that all simple closed curves in $\mathbb{R}^2$ or $S^2$ are "equivalent" in the sense that there exists a homeomorphism of the ambient space taking one to the other. This allows us to assume one of the curves is the standardly imbedded $S^1$. After that I'm totally unsure of what to do. I would appreciate any hints or advice. Thank you for reading my question.





