As André Nicolas describes, the end result will come down to generating some sort of reduction formula. With the techniques we learn a little way into integral calculus,
$$\int \frac{Ax+B}{(x^2 + ax + b)^n} \ dx $$
can be "stripped down" using completion of squares to
$$ \frac{A}{2}\int \ \frac{[2x + a] }{( \ [x + \frac{a}{2}]^2 + [b - \frac{a^2}{4}] \ )^n} \ dx \ \ + \ \ \int \ \frac{ B - \frac{Aa}{2} }{( \ [x + \frac{a}{2}]^2 + [b - \frac{a^2}{4}] \ )^n} \ dx \ , $$
so that the real work comes down to integrating the part with the constant in the numerator,
$$ \int \frac{C}{( \ u^2 + \beta^2 )^n} \ du \ \ , \text{with} \ \ u \ = \ x + \frac{a}{2} \ \ , \ \ \beta^2 \ = \ b - \frac{a^2}{4} \ \ . \ \ \ \mathbf{[ 1 ] }$$
This is what suggests using a "chain" of integrations-by-parts with a trig substitution.
EDITS (2/28/14) -- Although this answer was accepted recently, I'd been meaning to return to it at some point, in part to correct an algebra error, and in part to elaborate on the integration chain [and later to fix a different mistake made in the "wee hours"].
The sum of squares in the denominators calls for a "tangent substitution", $ \ \tan \theta = \frac{u}{\beta} \ , $ leading to
$$ \longrightarrow \ \ C \ \int \ \frac{\beta \ \sec^2 \theta \ \ d\theta}{( \ \beta^2 \sec^2 \theta \ )^n} \ \ = \ \ \frac{C}{\beta^{2n-1}} \int \ \cos^{2n-2} \theta \ \ d\theta \ \ . \ \ \ \mathbf{[ 2 ] } $$
To make the integration-by-parts a bit more readable, I am switching the exponent of cosine to $ \ 2m \ $ for the present; the reduction formula is obtained from
$$ \int \ \cos^{2m} \theta \ \ d\theta \ = \ \int \ (\cos^{2m-1} \theta) \ \cdot \ (\cos \theta \ \ d\theta) \ = \ \int \ (\cos^{2m-1} \theta) \ \ d( \sin \theta \ ) $$
$$ = \ \sin \theta \ \cos^{2m-1} \theta \ \ - \ \int \ (\sin \theta) \ \cdot \ (2m-1) \ (\cos^{2m-2} \theta \ [-\sin \theta \ ] \ \ d\theta) $$
$$ = \ \sin \theta \ \cos^{2m-1} \theta \ \ + \ \ (2m-1) \int \ \sin^2 \theta \ \ \cos^{2m-2} \theta \ \ d\theta $$
$$ = \ \sin \theta \ \cos^{2m-1} \theta \ \ + \ \ (2m-1) \int \ \ (1 - \cos^2 \theta) \ \cos^{2m-2} \theta \ \ d\theta $$
$$ = \ \sin \theta \ \cos^{2m-1} \theta \ \ + \ \ (2m-1) \int \ \cos^{2m-2} \theta \ \ d\theta \ \ + \ \ (2m-1)\int \ \cos^{2m} \theta \ \ d\theta $$
$$ \Rightarrow \ \ 2m \ \int \ \cos^{2m} \theta \ \ d\theta \ = \ \sin \theta \ \cos^{2m-1} \theta \ \ + \ \ (2m-1) \int \ \cos^{2m-2} \theta \ \ d\theta $$
$$ \Rightarrow \ \ \int \ \cos^{2m} \theta \ \ d\theta \ = \ \left( \frac{1}{2m} \right) \sin \theta \ \cos^{2m-1} \theta \ \ + \ \left( \frac{2m - 1}{2m} \right) \int \ \cos^{2m-2} \theta \ \ d\theta \ \ \ . $$
Applying this to the integral 2 above produces
$$ \int \frac{C}{( \ u^2 + \beta^2 )^n} \ du $$
$$ = \ \ \frac{C}{\beta^{2n-1}} \ \left[ \ \left( \frac{1}{2n - 2} \right) \sin \theta \ \cos^{2n-3} \theta \ \ + \ \left( \frac{2n - 3}{2n - 2} \right) \int \ \cos^{2n-4} \theta \ \ d\theta \ \right] $$
$$ = \ \ C \ \left[ \ \left( \frac{1}{2n - 2} \right) \frac{u}{\beta^2 \ ( \ u^2 + \beta^2 )^{n-1} } \ + \ \left( \frac{[2n - 3]}{[2n - 2] \ [2n-4]} \right) \frac{u}{\beta^4 \ ( \ u^2 + \beta^2 )^{n-2} } \ + \ \ldots \ + \ \left( \frac{[2n - 3] \cdot \ \ldots \ \cdot 3}{[2n - 2] \ [2n-4] \cdot \ \ldots \ \cdot 4} \right) \frac{u}{\beta^{2n-2} \ ( \ u^2 + \beta^2 ) } \ \ \ \ \ \ \ \ \ \ \ \ \ \ \ \ \ \ \ \ \ + \ \left( \frac{[2n - 3] \cdot \ \ldots \ \cdot 1}{[2n - 2] \ [2n-4] \cdot \ \ldots \ \cdot 2} \right) \arctan(\frac{u}{\beta} ) \ \right] \ + \ K \ \ . $$
$$ $$
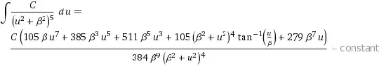
Here's an example run on WolframAlpha (with all terms placed over a single denominator, and the arctangent term appearing in the penultimate position):
