2

Whenever I start to get cocky about my math knowledge, some basic property of the complex plane puts me back in my place. I just came across this fake proof that 2 = 0:

In the shallowest sense, I think I know what the problem is here. The author deceptively exploits how squaring is a 2-to-1 mapping on $C \setminus 0$, and flips the sign of a root somewhere. If we use $-i$ as the square root of $-1$ instead of $i$, we get a tautology rather than a contradiction.

But what I'd like is a fuller description of the phenomenon underlying the trick. My guess is that the proof smuggles in some special property of $R$ that is so basic that the naive reader assumes it holds in $C$, even though it doesn't. Could anyone state what this property is? Is my guess on the right track?

Frank Seidl
  • 1,016
  • 5
    Square roots of negative numbers are not uniquely defined – J. W. Tanner Oct 07 '20 at 20:47
  • $\sqrt {ab} = \sqrt a \sqrt b$ only when both a, b are not both negative. – amWhy Oct 07 '20 at 20:56
  • I don't know if I would describe "using an invalid justification" as "smuggling in a special property." I think it would not go over well. – rschwieb Oct 07 '20 at 21:03
  • 1
    "My guess is that the proof smuggles in some special property of R that is so basic that the naive reader assumes it holds in C. Could anyone state what this property is?". That square roots are uniquely defined. $\sqrt{x^2}\ne (\sqrt{x})^2$ unless $\sqrt{x^2} = x$. If $\sqrt{x^2}\ne x$ then $(\sqrt x)^2 = x \ne \sqrt{x^2}$. And $\sqrt{1}\ne -1$. – fleablood Oct 07 '20 at 21:12
  • It's pretty simple, -1 is a root of 1 if by root you mean "what can be squared to equal one".

    In that sense the first equation isn't even necessarily true, since the square root of 1 COULD be -1 already giving you 2=0, nothing to do with complex numbers.

    The equality is only true if 1 is only allowed to be factored as 1*1, which you break in line 2.

    – NaiDoeShacks Nov 02 '24 at 09:29

3 Answers3

4

The proof tacitly assumes that there is a function $sqrt:\mathbb{C}\rightarrow\mathbb{C}$ (which it calls "$\sqrt{\cdot}$") with the following two properties:

A: $sqrt$ gives square roots: for all $z$ we have $sqrt(z)^2=z$.

B: $sqrt$ distributes over multiplication: for all $z_0,z_1$ we have $sqrt(z_0)\cdot sqrt(z_1)=sqrt(z_0\cdot z_1)$.

I'll call such a function (if it exists) a good square rooter.

If there were such a function, then the proof would work - so in fact what's being shown is that no such function exists. This can be a stumbling point because of course over $\mathbb{R}_{\ge 0}$ there is such a function, namely the function sending $x$ to its unique nonnegative square root.


OK, so what is it about $\mathbb{C}$ as opposed to $\mathbb{R}_{\ge0}$ that makes the former have no good square rooter?

Well, it turns out that the issue is exactly that elements of $\mathbb{C}$ have multiple square roots in $\mathbb{C}$ in general, whereas each element of $\mathbb{R}_{\ge0}$ has exactly one square root in $\mathbb{R}_{\ge0}$. As soon as we're forced to "make a choice," we lose any hope of having a good square rooter.

To be precise:

Suppose $A$ is a commutative semiring in which every element has at least one square root. Then the following are equivalent:

  1. Every element in $A$ has exactly one square root.
  2. There is a good square rooter $sqrt_A:A\rightarrow A$.

Proof: The direction $2\rightarrow 1$ is basically just the argument in the OP! Suppose we have a good square rooter $sqrt_A$, and pick $a,b,c\in A$ with $a^2=b^2=c$. We have $$sqrt_A(c)=sqrt_A(a)\cdot sqrt_A(a)=sqrt_A(b)\cdot sqrt_A(b)$$ by condition B of good-square-rooter-ness, but we also have $$sqrt_A(a)\cdot sqrt_A(a)=a\mbox{ and }sqrt_A(b)\cdot sqrt_A(b)=b$$ by condition A. Put together we get $a=b$ as desired.

In the other direction, suppose $(1)$ holds. Then we can define a function $s: A\rightarrow A$ by $s(a)=$ the unique $b$ with $b^2=a$. This trivially satisfies condition A of good-square-rooter-ness, so we just have to show that $$s(a)\cdot s(b)=s(a\cdot b)$$ for every $a,b\in A$.

And this is nice and easy! By definition of $s$, we have $$[s(a)s(b)]^2=[s(a)^2][s(b)^2]ab=[s(ab)]^2.$$ So $s(a)s(b)$ and $s(ab)$ are elements of $A$ which square to the same thing (namely $ab$), which means .... that they're equal by our assumption that we're in case $(1)$.


"But wait!", you might reasonably say, "what about $\mathbb{R}_{\ge0}$? Positive real numbers do have multiple square roots even though we have a good square rooter in $\mathbb{R}_{\ge0}$. What gives?"

The point is that we get extra square roots for positive reals only when we step outside of $\mathbb{R}_{\ge 0}$. Within $\mathbb{R}_{\ge0}$ itself, every element has exactly one square root. The proposition is very carefully phrased to be about what's going on inside the commutative semiring $X$, not about how $X$ sits inside some yet larger commutative semiring.

So we always have to pay attention to where the solutions to various equations exist!

Noah Schweber
  • 260,658
  • This isn't it. We can assume sqrt(x) means the positive square root of x, which is uniquely defined as x^(1/2). I think the actual problem is that exponents (and therefore radicals) don't distribute over multiplication the way R leads one to expect. I'd love a fuller description of where and why distributivity fails in C. – Frank Seidl Oct 08 '20 at 23:45
  • @FrankSeidl "We can assume sqrt(x) means the positive square root of x, which is uniquely defined as x^(1/2). " That doesn't actually make sense over $\mathbb{C}$: which of the two square roots of $-2i$ is the positive one, $1-i$ or $-1+i$? That said, you can indeed ask why no single-valued refinement of the square root multifunction over $\mathbb{C}$ exists with the desired property. I'll update my answer to say more about this. – Noah Schweber Oct 09 '20 at 01:13
  • @FrankSeidl See my edit. The point is exactly that we have to work with sets instead of with elements: as soon as the "is-a-square-root-of" relation isn't functional, we lose any hope of satisfying the desired equality. – Noah Schweber Oct 09 '20 at 01:56
  • I apologize if I'm off base, but I'd say the "positive" square root of -2i is 1 - i, not -1 + i, because 1 - i = (-2i)^0.5 and -1 + i does not (wait, right? Aren't fractional powers unique?). Is it not true that defining sqrt(x) as x^(1/2) gives a functional relationship? Maybe its abusive to call x^(1/2) the positive square root, because it is by no means actually a positive real, but I think the point stands that we have a function. And note that the fake proof doesn't rely on a supposed square root that doesn't satisfy this relation. – Frank Seidl Oct 10 '20 at 02:21
  • @FrankSeidl "wait, right? Aren't fractional powers unique?" Actually complex exponentiation is multi-valued in general! So that doesn't save you here. As my answer shows, exactly what goes wrong is the assumption that there exists a single-valued square-root function satisfying that additional second equality: as soon as a single number has more than one square root, everything breaks. And contra your last sentence the assumption that such a square root function exists is exactly what the fake proof uses: it assumes that a map $\sqrt{\cdot}$ exists satisfying the two key conditions. – Noah Schweber Oct 10 '20 at 03:14
  • @FrankSeidl I've edited my answer to be more direct. – Noah Schweber Oct 10 '20 at 03:34
  • wow, I finally get it!! At least to me, 2 => 1 is quite surprising, even though the proof is super straightforward now that I see it. I expected a long-winded analytic argument, which is why I was initially dismissive of your quick algebraic one. Thanks! – Frank Seidl Oct 10 '20 at 04:18
  • @FrankSeidl Glad to help! And yeah, sometimes an expectation of complexity can get in the way for a bit - I hope the way I rewrote my answer was helpful. – Noah Schweber Oct 10 '20 at 04:20
  • I guess the long-winded analysis I expected comes when you delve into exactly how my particular sqrt candidate, raising to the 1/2 power, fails to be a "good square rooter". Powers aren't unique, because natural log isn't injective, so its inverse e^x has to be multi-valued! And I suppose the principal branch doesn't have the algebraic properties I want. Something like that... – Frank Seidl Oct 10 '20 at 04:30
  • @FrankSeidl You have to be careful. The notation "$e^z$" is generally used to refer to the power series definition, which is in fact single-valued. More broadly we can make sense of $a^z$, for $a$ a positive real and $z$ complex, in a single-valued way. But that's not enough here, of course, since the argument above uses base $-1$. (More precisely, the application of the proposition above requires us to consider "$a^{1\over 2}$" and "$b^{1\over 2}$" for $a,b$ distinct things with the same square - no matter how we set it up, at least one* of $a$ and $b$ will fail to be a positive real!)* – Noah Schweber Oct 10 '20 at 04:33
  • As usual, analysis is harder than algebra. (OK, maybe my bias is showing. :P) – Noah Schweber Oct 10 '20 at 04:33
1

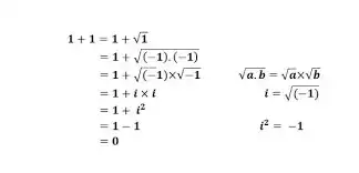
The proof asserts that $$1+\sqrt{(-1).(-1)}=1+\sqrt{-1}\sqrt{-1}$$ for the reason that $$\sqrt{a. b}=\sqrt a\times\sqrt b.$$

This is wrong. The equation $\sqrt{a. b}=\sqrt a\times\sqrt b$ does not hold for all complex (or even all real) numbers $a$ and $b$. In particular, it doesn’t hold when $a=b=-1$, which is where it is incorrectly used.

Steve Kass
  • 15,314
  • I think I agree. Thanks! I see that this equality fails for a = b = -1, but do you have a good description of where it fails or holds in general? That's what I'd really like to know. Sorry that my question was so open-ended. – Frank Seidl Oct 10 '20 at 02:28
  • How exactly are you even defining $\sqrt{z}$ for complex $z$ in general? – Noah Schweber Oct 10 '20 at 03:19
  • As Noah suggests, if you are asking when $\sqrt{a. b}=\sqrt a\times\sqrt b$ is true, it depends on the definition of $\sqrt$. An answer for one particular definition is here: https://en.wikipedia.org/wiki/Square_root#Square_roots_of_negative_and_complex_numbers – Steve Kass Oct 10 '20 at 21:34
0

The invalid assumption is that if $a^2 = m$ then $\sqrt m = a$. That is not true. (Example: $(-5)^2 = 25$ but $\sqrt {25} \ne -5$.

With that invalid assumption we make an invalide rule of arithmetic:$\sqrt{ab} = \sqrt a \sqrt b$. That is not true and it is based on an invalid assumption.

The reason we think it is true is because $(\sqrt{a}\sqrt b)^2 = (\sqrt a)^2 \cdot (\sqrt b)^2=ab$. That is true. But $(\sqrt a\sqrt b)^2 = ab$ does not mean that $\sqrt{ab} = \sqrt a \sqrt b$.

But it is valid if $a,b$ are positive (well, actually non-negative).

This is because in real numbers the say $\sqrt a$ and $\sqrt b$ exist at all, we have to have $a \ge 0$ and $b\ge 0$. In complex numbers we don't have to have that conclusion.

And if $\sqrt a\ge 0$ and $\sqrt b\ge 0$ then $\sqrt a \sqrt b \ge 0$. We have to reach that conclusion in real numbers if $\sqrt a$ and $\sqrt b$ even exist. But in complex numbers we dont have to have that conclusion.

Now, in real numbers we have $\sqrt a = m$ if i) $m^2 = a$ but ALSO if ii) $m\ge 0$. So we must in real numbers reach the conclusion that $\sqrt {ab} = \sqrt a \sqrt b$ if $\sqrt a$ and $\sqrt b$ exist at all.

But in complex numbers we have $\sqrt a = m$ if i) $m^2 = a$ and also the angle argument of $m$ is in the upper half of the complex plane (well, maybe, different texts have different definitions.) We do not have the requirement that $\sqrt a \sqrt b$ satisfies that conditions. So we do not have that $\sqrt {ab} =\sqrt a\sqrt b$> Mayb $\sqrt {ab} = -\sqrt a \sqrt b$.

It does come down to there are always 2 different numbers where $m^2 = a$ and it is arbitrary which one we call "the" square root. In reals where $\sqrt{negative}$ do not exist that is not an issue when claiming $\sqrt{ab}=\sqrt a\sqrt b$ and $a,b\ge 0$ is implied. In complex where $\sqrt{negative}$ is allowed we can't assume it distributes like that.

fleablood
  • 130,341
  • That assumption is clearly wrong, but I don't think the proof uses it. What line assumes that? – Frank Seidl Oct 08 '20 at 23:41
  • the proof relies upon assuming $\sqrt{a}\sqrt{b} = \sqrt{ab}$. Otherwise we can not make the false claim that $\sqrt{(-1)(-1)} = \sqrt{-1}\sqrt{-1}$. – fleablood Oct 09 '20 at 03:18
  • Ah yes, distributivity of the radical is assumed. But that's different from assuming a^2 = m implies m = sqrt(a), which is what you wrote in the first sentence. I may not have made myself clear; I already know which line in this proof is wrong. What I wish I'd asked for was a better description of all of the pairs a,b in C for which √a√ != √. Where and why does this happen? – Frank Seidl Oct 10 '20 at 02:24
  • @FrankSeidl How exactly are you defining "$\sqrt{a}$" for complex $a$? As my answer shows this isn't something you can actually do in an "overall sensible" way. – Noah Schweber Oct 10 '20 at 03:15
  • I'm not sure I understand your point. If $m\ne 0$ then there are two values $k$ so that $k^2 = m$. And only one of them can be "the" square root of $m$. If $\sqrt a$ is "the" square root of $a$ (however that is defined) and if $\sqrt b$ is "the" square root of $b$ (ditto). Then,indeed $(\sqrt a\sqrt b)^2= ab$ (always). But that doesn't mean $\sqrt{a}\sqrt{b}$ is "the" square root of $ab$ and the only reason we'd have for making any such assumption would be because $\sqrt a\sqrt b=k$ means $k^2 = ab$ and we assume that mean $\sqrt{ab}=k$. – fleablood Oct 10 '20 at 05:02