2

If $$U_n=\int_0^\frac{\pi}{2} x\sin^n x dx$$ Find $\frac{100U_{10}-1}{U_8}$

Answer: $90$

My Attempt:

I tried applying Integration By Parts, and when that failed, I tried the substitution $x\rightarrow \frac{\pi}{2} -x$ , only to establish a (probably useless) relationship between the $U_n$ and its cosine counterpart: $$U_n=\frac{\pi}{2}\int_0^{\frac{\pi}{2}} \cos^n \ dx-\int_0^{\frac{\pi}{2}}x\cos ^n x\ dx$$

Any help would be appreciated!

Quanto
  • 120,125
  • 1
    Here is my answer for the cosine version. The sine could be handled similarly. (You likely need only the recurrence, not the final result.) – metamorphy Aug 14 '20 at 13:14
  • 3
    Hint :take $xsin^{n-1}x$ and $sinx$ as the 2 functions and then apply integration by parts to get a reduction formula. – Hari Ramakrishnan Sudhakar Aug 14 '20 at 13:18
  • 1
    Both of the two previous comments advise integration by parts and recursion; makes sense to me. If you run into roadblocks following this path, please edit your query to include work in this direction, for reviewers to focus on. Incidentally; I am upvoting - interesting problem, nice work shown, nice formatting. – user2661923 Aug 14 '20 at 13:20

3 Answers3

7

Note

$$U_{n-2} -U_n =\int_0^\frac{\pi}{2} x\sin^{n-2}\cos^2x dx \overset{IBP}=\frac1{n-1} \int_0^\frac{\pi}{2} x\cos xd(\sin^{n-1}x)\\ = \frac1{n-1}\left( U_n -\frac1n \int_0^\frac{\pi}{2} d(\sin^{n}x)\right)= \frac1{n-1}\left(U_n - \frac1n\right) $$

Thus, $U_n = \frac{n-1}nU_{n-2} + \frac1{n^2}$ and

$$\frac{100U_{10}-1}{U_8} = \frac{ 100(\frac9{10}U_8+\frac1{100})-1}{U_8}=90$$

Quanto
  • 120,125
3

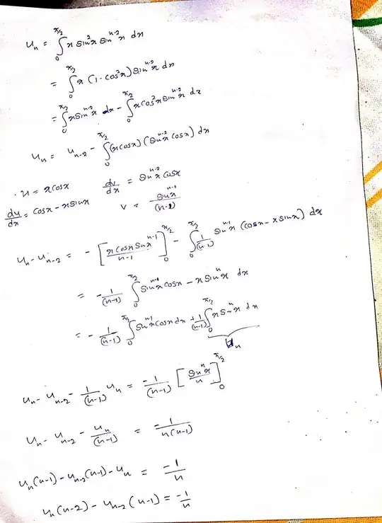
You can use this I will edit this soonenter image description here Now you can plug values of n into last part then you can get your answer.

Akalanka
  • 747
2

Given,$$u_{n}=\int^{\frac{\pi}{2}}_{0} x \sin^{n}x\ dx=\int^{\frac{\pi}{2}}_{0} (x \cdot \sin x) \sin^{n-1}x\ dx$$ Using Integration by parts: $$u_{n}=\left[\sin^{n-1}x(-x \cdot \cos x + \sin x)\right]^{\frac{\pi}{2}}_{0}-\int^{\frac{\pi}{2}}_{0} (-x \cdot \cos x + \sin x) (n-1)\sin^{n-2}x \cos x\ dx$$

$$\Rightarrow u_{n}=1+(n-1)\int^{\frac{\pi}{2}}_{0} (x \sin^{n-2}x\cdot \cos^{2}x - \sin^{n-1}x \cos x)\ dx$$

$$\Rightarrow u_{n}=1+(n-1)\int^{\frac{\pi}{2}}_{0} (x \sin^{n-2}x\cdot (1-\sin^{2}x)\ dx - (n-1)\int^{\frac{\pi}{2}}_{0}\sin^{n-1}x \cos x)\ dx$$

$$\Rightarrow u_{n}=1+(n-1)\int^{\frac{\pi}{2}}_{0} x \sin^{n-2}x\ dx- (n-1)\int^{\frac{\pi}{2}}_{0} x\sin^{n}x)\ dx - (n-1) \cdot \frac{1}{n}$$

$$\Rightarrow u_{n}=1+(n-1)u_{n-2}- (n-1)u_{n} - 1+ \frac{1}{n}$$

$$\Rightarrow n \cdot u_{n}=(n-1)u_{n-2}+ \frac{1}{n}$$

$$\Rightarrow \bbox[5px,border:2px solid red] {u_{n}=\frac{n-1}{n}u_{n-2}+ \frac{1}{n^{2}}}$$

I think you can proceed from here.

Venkat Amith
  • 475
  • 2
  • 12