Following from this question, I am having trouble constructing the Homology functor on chain maps. Let me first sum up what I managed to do.
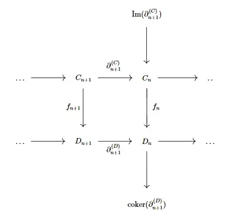
Let $\textbf{A}$ be an abelian category, and let $C_\bullet,D_\bullet\in\textbf{Ch}_\bullet(\textbf{A})$ be two chain complexes, and let $f:C_\bullet\to D_\bullet$ be a chain map.
1. Construction of $H_n$ on objects
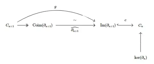
For each $n\in\mathbb{Z}$, there is a monomorphism $\text{Im}(\partial_{n+1})\to\ker(\partial_n)$. Indeed, from the mono/epi decomposition of $\partial_{n+1}$, one gets a map $g:C_{n+1}\to\text{Im}(\partial_{n+1})$ :
Now $g$ is epic, because $\widehat{\partial_{n+1}}$ is an iso and because $\text{Coim}(\partial_{n+1})$ is epic, as a cokernel. At last, $0=\partial_n\partial_{n+1}=\partial_ncg$, and since $g$ is epic, we get $\partial_nc=0$. Therefore, from the universal property for $\ker(\partial_n)$, we get :
Now $\bar{c}$ is monic, for if $x:\ker(\partial_n)\to\bullet$ is such that $\bar{c}x=0$, then $k\bar{c}x=cx=0$, i.e. $x=0$ since $c$ is monic (it is an image, which in turn, is a kernel). This allows us to define : $$H_n(C)=\text{coker}(\bar{c}):\ker(\partial_n)\to H_n(C).$$
2. Definition of $H_n$ on chain maps
The composite $f_n\ker(\partial_n^{(C)})$ is such that (using the definition of a chain map to "commute" $f_n$ and $\partial_n$) : $$\partial_n^{(D)}f_n\ker(\partial_n^{(C)})=f_{n-1}\partial_n^{(C)}\ker(\partial_n^{(C)})=0.$$
From the universal property for $\ker(\partial_n^{(D)})$, this gives rise to a unique morphism :
At last, we are left with a canonically-given diagram :
3. How to conclude ?
What I need to show is that there is a unique morphism $H_n(C)\to H_n(D)$ making the previous diagram commutative. How to do so ? From the linked question above, the answer suggests using universal properties from (co)kernels : how to ?
I tried using $\text{coker}(\bar{c})$ :
In order to have the desired map, I need to prove that $H_n(D)\hat{f_n}\bar{c}_n^{(C)}=0$ : how to do so ?
4. Conclusion
Let's follow Jacob FG's indication.
Let's use the universal property of kernels for $\text{coker}(\partial_{n+1}^{(D)})$. We have the following commutative diagram :
From this, we get : $$\text{coker}(\partial_{n+1}^{(D)})f_n\partial_{n+1}^{(C)}=\text{coker}(\partial_{n+1}^{(D)})\partial_{n+1}^{(D)}f_{n+1}=0.$$
Now recall the mono/epi canonical decomposition in any abelian category : $$\partial_{n+1}^{(D)}=\text{Im}(\partial_{n+1}^{(D)})\overline{\partial_{n+1}^{(D)}}\text{Coim}(\partial_{n+1}^{(D)}),$$
where $\overline{\partial_{n+1}^{(D)}}\text{Coim}(\partial_{n+1}^{(D)})$ is epic, as the composition of an epi with an iso. From this, we obtain finally : $$\text{coker}(\partial_{n+1}^{(D)})f_n\text{Im}(\partial_{n+1}^{(C)})=0,$$
which in turn, yields :
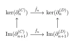
Now, we wish to prove that the following diagram is commutative :
Finally, recall the three relations, obtained from the previous diagrams :
$$\begin{cases}\text{Im}(\partial_{n+1}^{(D)})\tilde{f_n}=f_n\text{Im}(\partial_{n+1}^{(C)})\\\ker(\partial_n^{(D)})\hat{f_n}=f_n\ker(\partial_n^{(C)})\\\ker(\partial_n^{(D)})\bar{c}_n^{(D)}=\text{Im}(\partial_{n+1}^{(D)})\end{cases}.$$
From there relations, we get : $$\ker(\partial_n^{(D)})\bar{c}_n^{(D)}\tilde{f_n}=\text{Im}(\partial_{n+1}^{(D)})\tilde{f_n}=f_n\text{Im}(\partial_{n+1}^{(C)})=f_n\ker(\partial_n^{(C)})\bar{c}_n^{(C)}=\ker(\partial_n^{(D)})\hat{f_n}\bar{c}_n^{(C)}.$$
Finally, from monomorphicity of $\ker(\partial_n^{(D)})$, we obtain the desired relation, thus commutativity of the diagram.
This finally yields the desired relation : $$H_n(D)\hat{f_n}\bar{c}_n^{(C)}=H_n(D)\bar{c}_n^{(D)}\tilde{f_n}=0,$$
since $H_n(D)=\ker(\bar{c}_n^{(D)})$ by definition. This provides us with a unique arrow $H_n(C)\to H_n(D)$ in the cokernel diagram, and this arrow is what we wanted.








