I was studying Set theory (on a self-study basis, reading O’Leary’s book on logic and set theory and Warner’s book on Set Theory) and I came across the notation for an ordered pair. I was just wondering if that notation is just a convention. I’ve read Eric Steinheart’s explanation in his book More Precisely:
Since sets are not ordered, it might seem like we can't use sets to define ordered pairs. But we can. Of course, the ordered pair (A, B) is not identical with the set {A, B}. It is identical with some more complex set. We want to define a set in which A and B are ordered. We want to define a set that indicates that A comes first and B comes second. We can do this by indicating the two things in the ordered pair and by distinguishing the one that comes first. One way to do this is to distinguish the first thing from the second thing by picking it out and listing it separately alongside the two things. For example: in the set { {A}, {A, B}}, the thing A is listed separately from the two things {A, B}. We can thus identify the ordered pair (A, B) with the set { {A}, {A, B}}. Notice that {{A}, {A, B}} is not identical with { {B}, {A, B} }. Hence (A, B) is not identical with (B,A).
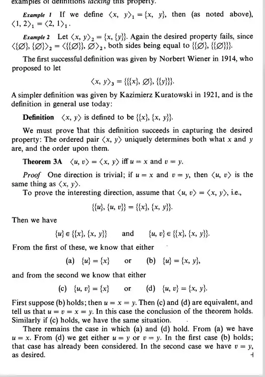
But it doesn’t seem enough. So, I checked Enderton’s book on Set Theory and he gave a detailed explanation, but I don’t get it. Here his explanation:

I still can’t see why the notation { {x}, {x, y}} represent an ordered pair (x,y) instead of a single element and a pair. I know this is basic stuff, but I would appreciate if you could help me understand it.