1

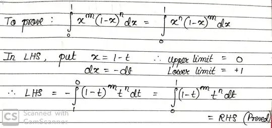
Show that for every m and n value, $$\int_0^1 x^m (1-x)^n \,dx= \int_0^1 x^n (1-x)^m \,dx$$

I have no idea how to solve a question like that. Do I have to solve both parts of the equation and show that they're equal, or is there any other aspect that I'm not aware of?

otnemem
  • 143

1 Answers1

1

$$\int_0^1 x^m (1-x)^n \,dx= \int_0^1 x^n (1-x)^m \,dx$$

Your answer is in the image below:

enter image description here

Finally, replace $ t$ by $x$ to get the required answer.

shsh23
  • 1,174