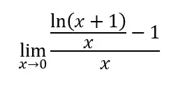
I have tried most of the common tricks but I still don't see what to do
I did get it to that form since I know that limit(ln(x+1)/x)=1, but the problem is that I can't get rid of x in the denominator.
I have tried most of the common tricks but I still don't see what to do
I did get it to that form since I know that limit(ln(x+1)/x)=1, but the problem is that I can't get rid of x in the denominator.
Let $n>1$ then from binomial theorem we know that $$(1+x)^{1/n}=1+\frac{x}{n}-\frac{n-1}{2n^2}x^2+\frac{(n-1)(2n-1)}{6n^3}x^3-\dots$$ for $0<x<1$. Clearly the series on right is alternating (ignoring the first term). You can also see that the terms of the series decrease in absolute value as $$\frac{(n-1)(2n-1)\dots((m+1)n-1)x^{m+1}}{(m+1)!n^{m+1}}\cdot\frac{m!n^m}{(n-1)(2n-1)\dots(mn-1)x^m}$$ equals $$\frac {((m+1)n-1)x}{(m+1)n}$$ and is thus less than $1$.
It follows that partial sums of the series give bounds for $(1+x) ^{1/n}$ as $$1 +\frac{x} {n} - \frac{(n-1)x^2}{2n^2}<(1+x)^{1/n}<1+\frac{x}{n}-\frac{(n-1)x^2}{2n^2}+\frac {(n-1)(2n-1)x^3}{6n^3}\tag{1}$$ which means that $$x-\frac{(n-1)x^2}{2n}<n((1+x)^{1/n}-1)<x-\frac{(n-1)x^2}{2n}+\frac{(n-1)(2n-1)x^3}{6n^2}$$ Letting $n\to\infty $ we get $$x-\frac{x^2}{2}\leq \log(1+x)\leq x-\frac{x^2}{2}+\frac{x^3}{3}$$ for $0<x<1$. And this means that $$-\frac{1}{2}\leq \frac{\log(1+x)-x}{x^2}\leq - \frac{1}{2}+\frac {x}{3}$$ for $0<x<1$. Taking limits as $x\to 0^+$ we get $$\lim_{x\to 0^+}\frac{\log(1+x)-x}{x^2}=-\frac{1}{2}$$ To deal with the case when $x\to 0^-$ we can put $x=-t$ so that $t\to 0^+$ and then the expression under limit in question becomes $$\frac{\log(1-t)+t}{t^2}$$ Adding and subtracting $(\log(1+t) - t) /t^2$ in above expression we can transform it into $$\frac{\log(1-t^2)}{t^2}-\frac{\log(1+t)-t}{t^2}$$ The first fraction tends to $-1$ and second fraction as shown above tends to $-1/2$ as $t\to 0^+$. Hence the desired limit is $-1/2$.
Note: Since the inequality $(1)$ is algebraic it should be possible to prove it by algebraic means, but I have not yet looked into that part.
You can also use integrals if that is allowed. Just note that for positive $t$ we have $$1-t<\frac {1}{1+t}<1-t+t^2$$ and integrating the above with respect to $t$ on interval $[0,x]$ we get $$x-\frac{x^2}{2}<\log(1+x)<x-\frac {x^2}{2}+\frac{x^3}{3}$$ and then we can proceed exactly as before.
Le $ x $ be a real different from $ 0 $ such that $ \left|x\right|\leq\frac{1}{2}\cdot $
The following fomula can be proved easily : $$ \frac{x-\ln{\left(1+x\right)}}{x^{2}}=\int_{0}^{1}{\frac{1-y}{\left(1+xy\right)^{2}}\,\mathrm{d}y} $$
Since $ \int\limits_{0}^{1}{\left(1-y\right)\mathrm{d}y}=\frac{1}{2} $, we have the following : \begin{aligned} \left|\frac{1}{2}-\frac{x-\ln{\left(1+x\right)}}{x^{2}}\right|&=\left|\int_{0}^{1}{\left(1-y\right)\left(1-\frac{1}{\left(1+xy\right)^{2}}\right)\mathrm{d}y}\right|\\ &\leq\int_{0}^{1}{\left|\frac{xy\left(1-y\right)\left(2+xy\right)}{\left(1+xy\right)^{2}}\right|\mathrm{d}y} \\ &=\left|x\right|\int_{0}^{1}{\frac{y\left(1-y\right)\left|2+xy\right|}{\left|1+xy\right|^{2}}\,\mathrm{d}y}\\ &\leq 2\left|x\right|\left(2+\left|x\right|\right)\int_{0}^{1}{y\left(1-y\right)\mathrm{d}y} \\&=\frac{\left|x\right|\left(2+\left|x\right|\right)}{3}\end{aligned}
(In the fourth line we used that $ \left(\forall y\in\left[0,1\right]\right),\ \left|2+xy\right|\leq 2+\left|xy\right|\leq 2+\left|x\right| $, and that $ \left(\forall y\in\left[0,1\right]\right),\ \left|1+xy\right|\geq\left|1-\left|xy\right|\right|\geq\frac{1}{2} $, since we have chosen $ x $ such that $ \left|x\right|\leq\frac{1}{2}$, leaving us with $ \int\limits_{0}^{1}{y\left(1-y\right)\mathrm{d}y} $ which values $ \frac{1}{6} $)
Thus, $ \left(\forall x\in\left]-\frac{1}{2},\frac{1}{2}\right[\setminus\left\lbrace 0\right\rbrace\right),\ \left|\frac{1}{2}-\frac{x-\ln{\left(1+x\right)}}{x^{2}}\right|\leq\frac{\left|x\right|\left(2+\left|x\right|\right)}{3} $, which means the limit would be $ \frac{1}{2} \cdot $