There have been a number of proofs for this, such as:
How to prove Vandermonde's Identity: $\sum_{k=0}^{n}\binom{R}{k}\binom{M}{n-k}=\binom{R+M}{n}$?, and
Vandermonde's Identity: How to find a closed formula for the given summation.
However, they involve a lot of hand-waving or "consider a K-by-K matrix.. or "Suppose a committee consists of m men and n women". I'm looking for a good solid step-by-step proof:
The best one I've found comes from this's Algebraic Proof:

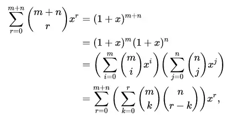
where in line 1, the binomial theorem is applied.
From lines 1 to 2, it's just a factoring of exponents.
From line 2 to 3, it's an application of the binomial theorem on each factor term.
From line 3 to 4 however, I'm looking for some missing (assumed obvious) steps. They'll probably be a set of change of variables such as $\textrm{let } j=r-i$ then a new equation, then maybe another change of variables.
Can someone please provide step-by-step equations from line 3 to line 4?