4

While trying exercises from Apostol introduction to Analytic number theory I am struck on this problem of chapter -Dirichlet theorem on primes in Arithmetic Progression.

I am adding its image

enter image description here

Fortunately I could find its solution on internet but I have one doubt in its solution.

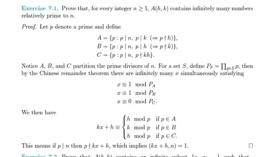
Image of solution-> enter image description here

I have following doubt in its solution -> I have studied Chinese remainder theorem from Apostol and it is used to determine whether solution exists and then solution is proved to be unique.

But how does here Chinese reminder theorem is used to prove existence of infinitely many solutions?

Can someone please explain how Chinese reminder theorem implies here that infinitely many solutions exist

1 Answers1

2

By CRT the solutions of the system have the form $\, x \equiv x_0 \pmod{\!m},\ m = P_A P_B P_C\ $ so there are infinitely many solutions $\, x_0 + km\,$ for all integers $\,k.\,$

For a more intuitive derivation of the solution using an idea of Stieltjes see this answer.

Bill Dubuque
  • 282,220