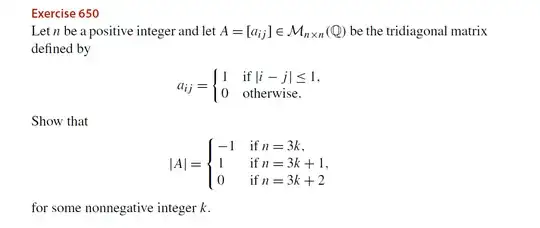
The statement of the question is given below:
In order to understand the meaning of tridiagonal, I tried to calculate the $4 \times 4$ matrix of the above description and I get the following matrix:
$$ \begin{vmatrix} 1&1&0&0\\ 1&1&1&0\\ 0&1&1&1\\ 0&0&1&1 \end{vmatrix} $$
Also, I tried to calculate the $3 \times 3$ matrix of the above description and I get the following matrix:
$$ \begin{vmatrix} 1&1&0\\ 1&1&1\\ 0&1&1\\ \end{vmatrix} $$
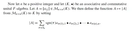
So I can see why it is called tridiagonal matrix. And I know that the definition of the determinant of a matrix is as follows:
But I still did not know how to prove the question, shall I prove it by induction on $k$? if so, how I can deal with proving the case of $k = n+1$? could anyone help me please?
**My idea:*
I think I can change the given matrix to an upper triangular matrix ? can this work?


